Question and Answers Forum

All Questions      Topic List

None Questions

Previous in All Question      Next in All Question      

Previous in None      Next in None      

Question Number 225814 by fantastic last updated on 12/Nov/25

∫∣x∣dx

$$\int\mid{x}\mid{dx} \\ $$

Answered by Frix last updated on 13/Nov/25

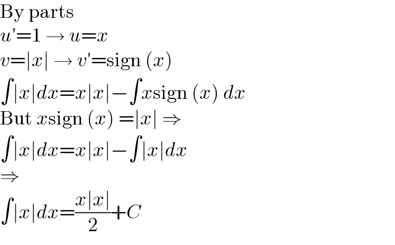
By parts  u′=1 → u=x  v=∣x∣ → v′=sign (x)  ∫∣x∣dx=x∣x∣−∫xsign (x) dx  But xsign (x) =∣x∣ ⇒  ∫∣x∣dx=x∣x∣−∫∣x∣dx  ⇒  ∫∣x∣dx=((x∣x∣)/2)+C

$$\mathrm{By}\:\mathrm{parts} \\ $$$${u}'=\mathrm{1}\:\rightarrow\:{u}={x} \\ $$$${v}=\mid{x}\mid\:\rightarrow\:{v}'=\mathrm{sign}\:\left({x}\right) \\ $$$$\int\mid{x}\mid{dx}={x}\mid{x}\mid−\int{x}\mathrm{sign}\:\left({x}\right)\:{dx} \\ $$$$\mathrm{But}\:{x}\mathrm{sign}\:\left({x}\right)\:=\mid{x}\mid\:\Rightarrow \\ $$$$\int\mid{x}\mid{dx}={x}\mid{x}\mid−\int\mid{x}\mid{dx} \\ $$$$\Rightarrow \\ $$$$\int\mid{x}\mid{dx}=\frac{{x}\mid{x}\mid}{\mathrm{2}}+{C} \\ $$

Commented by fantastic last updated on 13/Nov/25

thanks sir

$${thanks}\:{sir} \\ $$

Commented by Frix last updated on 13/Nov/25

��

Terms of Service

Privacy Policy

Contact: info@tinkutara.com