Question and Answers Forum

All Questions      Topic List

Integration Questions

Previous in All Question      Next in All Question      

Previous in Integration      Next in Integration      

Question Number 76360 by mathmax by abdo last updated on 26/Dec/19

calculate  ∫_1 ^∞     (dx/(x^3 (x^2 −2x+3)))

$${calculate}\:\:\int_{\mathrm{1}} ^{\infty} \:\:\:\:\frac{{dx}}{{x}^{\mathrm{3}} \left({x}^{\mathrm{2}} −\mathrm{2}{x}+\mathrm{3}\right)} \\ $$

Commented by abdomathmax last updated on 29/Dec/19

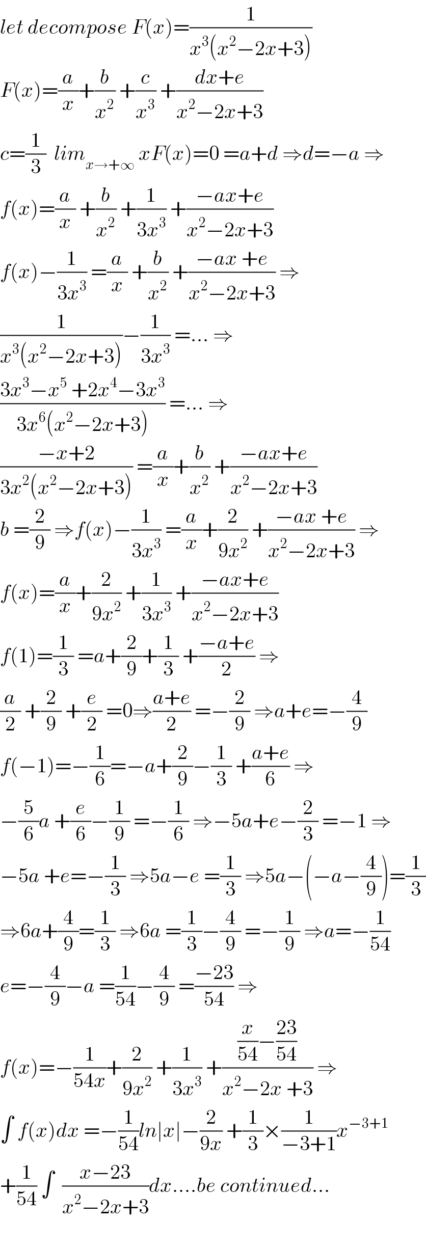
let decompose F(x)=(1/(x^3 (x^2 −2x+3)))  F(x)=(a/x)+(b/x^2 ) +(c/x^3 ) +((dx+e)/(x^2 −2x+3))  c=(1/3)  lim_(x→+∞)  xF(x)=0 =a+d ⇒d=−a ⇒  f(x)=(a/x) +(b/x^2 ) +(1/(3x^3 )) +((−ax+e)/(x^2 −2x+3))  f(x)−(1/(3x^3 )) =(a/x) +(b/x^2 ) +((−ax +e)/(x^2 −2x+3)) ⇒  (1/(x^3 (x^2 −2x+3)))−(1/(3x^3 )) =... ⇒  ((3x^3 −x^5  +2x^4 −3x^3 )/(3x^6 (x^2 −2x+3))) =... ⇒  ((−x+2)/(3x^2 (x^2 −2x+3))) =(a/x)+(b/x^2 ) +((−ax+e)/(x^2 −2x+3))  b =(2/9) ⇒f(x)−(1/(3x^3 )) =(a/x)+(2/(9x^2 )) +((−ax +e)/(x^2 −2x+3)) ⇒  f(x)=(a/x)+(2/(9x^2 )) +(1/(3x^3 )) +((−ax+e)/(x^2 −2x+3))  f(1)=(1/3) =a+(2/9)+(1/3) +((−a+e)/2) ⇒  (a/2) +(2/9) +(e/2) =0⇒((a+e)/2) =−(2/9) ⇒a+e=−(4/9)  f(−1)=−(1/6)=−a+(2/9)−(1/3) +((a+e)/6) ⇒  −(5/6)a +(e/6)−(1/9) =−(1/6) ⇒−5a+e−(2/3) =−1 ⇒  −5a +e=−(1/3) ⇒5a−e =(1/3) ⇒5a−(−a−(4/9))=(1/3)  ⇒6a+(4/9)=(1/3) ⇒6a =(1/3)−(4/9) =−(1/9) ⇒a=−(1/(54))  e=−(4/9)−a =(1/(54))−(4/9) =((−23)/(54)) ⇒  f(x)=−(1/(54x))+(2/(9x^2 )) +(1/(3x^3 )) +(((x/(54))−((23)/(54)))/(x^2 −2x +3)) ⇒  ∫ f(x)dx =−(1/(54))ln∣x∣−(2/(9x)) +(1/3)×(1/(−3+1))x^(−3+1)   +(1/(54)) ∫  ((x−23)/(x^2 −2x+3))dx....be continued...

$${let}\:{decompose}\:{F}\left({x}\right)=\frac{\mathrm{1}}{{x}^{\mathrm{3}} \left({x}^{\mathrm{2}} −\mathrm{2}{x}+\mathrm{3}\right)} \\ $$$${F}\left({x}\right)=\frac{{a}}{{x}}+\frac{{b}}{{x}^{\mathrm{2}} }\:+\frac{{c}}{{x}^{\mathrm{3}} }\:+\frac{{dx}+{e}}{{x}^{\mathrm{2}} −\mathrm{2}{x}+\mathrm{3}} \\ $$$${c}=\frac{\mathrm{1}}{\mathrm{3}}\:\:{lim}_{{x}\rightarrow+\infty} \:{xF}\left({x}\right)=\mathrm{0}\:={a}+{d}\:\Rightarrow{d}=−{a}\:\Rightarrow \\ $$$${f}\left({x}\right)=\frac{{a}}{{x}}\:+\frac{{b}}{{x}^{\mathrm{2}} }\:+\frac{\mathrm{1}}{\mathrm{3}{x}^{\mathrm{3}} }\:+\frac{−{ax}+{e}}{{x}^{\mathrm{2}} −\mathrm{2}{x}+\mathrm{3}} \\ $$$${f}\left({x}\right)−\frac{\mathrm{1}}{\mathrm{3}{x}^{\mathrm{3}} }\:=\frac{{a}}{{x}}\:+\frac{{b}}{{x}^{\mathrm{2}} }\:+\frac{−{ax}\:+{e}}{{x}^{\mathrm{2}} −\mathrm{2}{x}+\mathrm{3}}\:\Rightarrow \\ $$$$\frac{\mathrm{1}}{{x}^{\mathrm{3}} \left({x}^{\mathrm{2}} −\mathrm{2}{x}+\mathrm{3}\right)}−\frac{\mathrm{1}}{\mathrm{3}{x}^{\mathrm{3}} }\:=...\:\Rightarrow \\ $$$$\frac{\mathrm{3}{x}^{\mathrm{3}} −{x}^{\mathrm{5}} \:+\mathrm{2}{x}^{\mathrm{4}} −\mathrm{3}{x}^{\mathrm{3}} }{\mathrm{3}{x}^{\mathrm{6}} \left({x}^{\mathrm{2}} −\mathrm{2}{x}+\mathrm{3}\right)}\:=...\:\Rightarrow \\ $$$$\frac{−{x}+\mathrm{2}}{\mathrm{3}{x}^{\mathrm{2}} \left({x}^{\mathrm{2}} −\mathrm{2}{x}+\mathrm{3}\right)}\:=\frac{{a}}{{x}}+\frac{{b}}{{x}^{\mathrm{2}} }\:+\frac{−{ax}+{e}}{{x}^{\mathrm{2}} −\mathrm{2}{x}+\mathrm{3}} \\ $$$${b}\:=\frac{\mathrm{2}}{\mathrm{9}}\:\Rightarrow{f}\left({x}\right)−\frac{\mathrm{1}}{\mathrm{3}{x}^{\mathrm{3}} }\:=\frac{{a}}{{x}}+\frac{\mathrm{2}}{\mathrm{9}{x}^{\mathrm{2}} }\:+\frac{−{ax}\:+{e}}{{x}^{\mathrm{2}} −\mathrm{2}{x}+\mathrm{3}}\:\Rightarrow \\ $$$${f}\left({x}\right)=\frac{{a}}{{x}}+\frac{\mathrm{2}}{\mathrm{9}{x}^{\mathrm{2}} }\:+\frac{\mathrm{1}}{\mathrm{3}{x}^{\mathrm{3}} }\:+\frac{−{ax}+{e}}{{x}^{\mathrm{2}} −\mathrm{2}{x}+\mathrm{3}} \\ $$$${f}\left(\mathrm{1}\right)=\frac{\mathrm{1}}{\mathrm{3}}\:={a}+\frac{\mathrm{2}}{\mathrm{9}}+\frac{\mathrm{1}}{\mathrm{3}}\:+\frac{−{a}+{e}}{\mathrm{2}}\:\Rightarrow \\ $$$$\frac{{a}}{\mathrm{2}}\:+\frac{\mathrm{2}}{\mathrm{9}}\:+\frac{{e}}{\mathrm{2}}\:=\mathrm{0}\Rightarrow\frac{{a}+{e}}{\mathrm{2}}\:=−\frac{\mathrm{2}}{\mathrm{9}}\:\Rightarrow{a}+{e}=−\frac{\mathrm{4}}{\mathrm{9}} \\ $$$${f}\left(−\mathrm{1}\right)=−\frac{\mathrm{1}}{\mathrm{6}}=−{a}+\frac{\mathrm{2}}{\mathrm{9}}−\frac{\mathrm{1}}{\mathrm{3}}\:+\frac{{a}+{e}}{\mathrm{6}}\:\Rightarrow \\ $$$$−\frac{\mathrm{5}}{\mathrm{6}}{a}\:+\frac{{e}}{\mathrm{6}}−\frac{\mathrm{1}}{\mathrm{9}}\:=−\frac{\mathrm{1}}{\mathrm{6}}\:\Rightarrow−\mathrm{5}{a}+{e}−\frac{\mathrm{2}}{\mathrm{3}}\:=−\mathrm{1}\:\Rightarrow \\ $$$$−\mathrm{5}{a}\:+{e}=−\frac{\mathrm{1}}{\mathrm{3}}\:\Rightarrow\mathrm{5}{a}−{e}\:=\frac{\mathrm{1}}{\mathrm{3}}\:\Rightarrow\mathrm{5}{a}−\left(−{a}−\frac{\mathrm{4}}{\mathrm{9}}\right)=\frac{\mathrm{1}}{\mathrm{3}} \\ $$$$\Rightarrow\mathrm{6}{a}+\frac{\mathrm{4}}{\mathrm{9}}=\frac{\mathrm{1}}{\mathrm{3}}\:\Rightarrow\mathrm{6}{a}\:=\frac{\mathrm{1}}{\mathrm{3}}−\frac{\mathrm{4}}{\mathrm{9}}\:=−\frac{\mathrm{1}}{\mathrm{9}}\:\Rightarrow{a}=−\frac{\mathrm{1}}{\mathrm{54}} \\ $$$${e}=−\frac{\mathrm{4}}{\mathrm{9}}−{a}\:=\frac{\mathrm{1}}{\mathrm{54}}−\frac{\mathrm{4}}{\mathrm{9}}\:=\frac{−\mathrm{23}}{\mathrm{54}}\:\Rightarrow \\ $$$${f}\left({x}\right)=−\frac{\mathrm{1}}{\mathrm{54}{x}}+\frac{\mathrm{2}}{\mathrm{9}{x}^{\mathrm{2}} }\:+\frac{\mathrm{1}}{\mathrm{3}{x}^{\mathrm{3}} }\:+\frac{\frac{{x}}{\mathrm{54}}−\frac{\mathrm{23}}{\mathrm{54}}}{{x}^{\mathrm{2}} −\mathrm{2}{x}\:+\mathrm{3}}\:\Rightarrow \\ $$$$\int\:{f}\left({x}\right){dx}\:=−\frac{\mathrm{1}}{\mathrm{54}}{ln}\mid{x}\mid−\frac{\mathrm{2}}{\mathrm{9}{x}}\:+\frac{\mathrm{1}}{\mathrm{3}}×\frac{\mathrm{1}}{−\mathrm{3}+\mathrm{1}}{x}^{−\mathrm{3}+\mathrm{1}} \\ $$$$+\frac{\mathrm{1}}{\mathrm{54}}\:\int\:\:\frac{{x}−\mathrm{23}}{{x}^{\mathrm{2}} −\mathrm{2}{x}+\mathrm{3}}{dx}....{be}\:{continued}... \\ $$$$ \\ $$

Terms of Service

Privacy Policy

Contact: info@tinkutara.com