Question and Answers Forum

All Questions      Topic List

None Questions

Previous in All Question      Next in All Question      

Previous in None      Next in None      

Question Number 80146 by Khyati last updated on 31/Jan/20

Two system of rectangular axes have  the same origin. If a plane cuts them  at distance a, b, c and p, q, r  respectively, then prove with the help  of an appropriate diagram that :  (1/a^2 ) + (1/b^2 ) + (1/c^2 ) = (1/p^2 ) + (1/q^2 ) + (1/r^2 )

$${Two}\:{system}\:{of}\:{rectangular}\:{axes}\:{have} \\ $$$${the}\:{same}\:{origin}.\:{If}\:{a}\:{plane}\:{cuts}\:{them} \\ $$$${at}\:{distance}\:{a},\:{b},\:{c}\:{and}\:{p},\:{q},\:{r} \\ $$$${respectively},\:{then}\:{prove}\:{with}\:{the}\:{help} \\ $$$${of}\:{an}\:{appropriate}\:{diagram}\:{that}\:: \\ $$$$\frac{\mathrm{1}}{{a}^{\mathrm{2}} }\:+\:\frac{\mathrm{1}}{{b}^{\mathrm{2}} }\:+\:\frac{\mathrm{1}}{{c}^{\mathrm{2}} }\:=\:\frac{\mathrm{1}}{{p}^{\mathrm{2}} }\:+\:\frac{\mathrm{1}}{{q}^{\mathrm{2}} }\:+\:\frac{\mathrm{1}}{{r}^{\mathrm{2}} } \\ $$

Answered by mr W last updated on 31/Jan/20

Commented by mr W last updated on 31/Jan/20

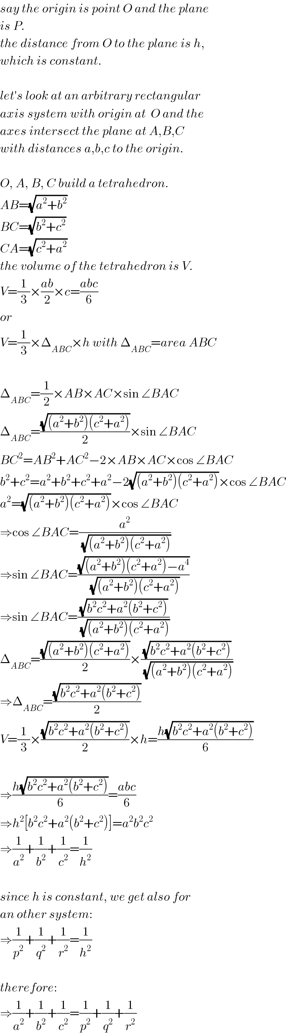
say the origin is point O and the plane  is P.   the distance from O to the plane is h,  which is constant.    let′s look at an arbitrary rectangular  axis system with origin at  O and the  axes intersect the plane at A,B,C  with distances a,b,c to the origin.    O, A, B, C build a tetrahedron.  AB=(√(a^2 +b^2 ))  BC=(√(b^2 +c^2 ))  CA=(√(c^2 +a^2 ))  the volume of the tetrahedron is V.  V=(1/3)×((ab)/2)×c=((abc)/6)  or  V=(1/3)×Δ_(ABC) ×h with Δ_(ABC) =area ABC    Δ_(ABC) =(1/2)×AB×AC×sin ∠BAC  Δ_(ABC) =((√((a^2 +b^2 )(c^2 +a^2 )))/2)×sin ∠BAC  BC^2 =AB^2 +AC^2 −2×AB×AC×cos ∠BAC  b^2 +c^2 =a^2 +b^2 +c^2 +a^2 −2(√((a^2 +b^2 )(c^2 +a^2 )))×cos ∠BAC  a^2 =(√((a^2 +b^2 )(c^2 +a^2 )))×cos ∠BAC  ⇒cos ∠BAC=(a^2 /(√((a^2 +b^2 )(c^2 +a^2 ))))  ⇒sin ∠BAC=((√((a^2 +b^2 )(c^2 +a^2 )−a^4 ))/(√((a^2 +b^2 )(c^2 +a^2 ))))  ⇒sin ∠BAC=((√(b^2 c^2 +a^2 (b^2 +c^2 )))/(√((a^2 +b^2 )(c^2 +a^2 ))))  Δ_(ABC) =((√((a^2 +b^2 )(c^2 +a^2 )))/2)×((√(b^2 c^2 +a^2 (b^2 +c^2 )))/(√((a^2 +b^2 )(c^2 +a^2 ))))  ⇒Δ_(ABC) =((√(b^2 c^2 +a^2 (b^2 +c^2 )))/2)  V=(1/3)×((√(b^2 c^2 +a^2 (b^2 +c^2 )))/2)×h=((h(√(b^2 c^2 +a^2 (b^2 +c^2 ))))/6)    ⇒((h(√(b^2 c^2 +a^2 (b^2 +c^2 ))))/6)=((abc)/6)  ⇒h^2 [b^2 c^2 +a^2 (b^2 +c^2 )]=a^2 b^2 c^2   ⇒(1/a^2 )+(1/b^2 )+(1/c^2 )=(1/h^2 )    since h is constant, we get also for  an other system:  ⇒(1/p^2 )+(1/q^2 )+(1/r^2 )=(1/h^2 )    therefore:  ⇒(1/a^2 )+(1/b^2 )+(1/c^2 )=(1/p^2 )+(1/q^2 )+(1/r^2 )

$${say}\:{the}\:{origin}\:{is}\:{point}\:{O}\:{and}\:{the}\:{plane} \\ $$$${is}\:{P}.\: \\ $$$${the}\:{distance}\:{from}\:{O}\:{to}\:{the}\:{plane}\:{is}\:{h}, \\ $$$${which}\:{is}\:{constant}. \\ $$$$ \\ $$$${let}'{s}\:{look}\:{at}\:{an}\:{arbitrary}\:{rectangular} \\ $$$${axis}\:{system}\:{with}\:{origin}\:{at}\:\:{O}\:{and}\:{the} \\ $$$${axes}\:{intersect}\:{the}\:{plane}\:{at}\:{A},{B},{C} \\ $$$${with}\:{distances}\:{a},{b},{c}\:{to}\:{the}\:{origin}. \\ $$$$ \\ $$$${O},\:{A},\:{B},\:{C}\:{build}\:{a}\:{tetrahedron}. \\ $$$${AB}=\sqrt{{a}^{\mathrm{2}} +{b}^{\mathrm{2}} } \\ $$$${BC}=\sqrt{{b}^{\mathrm{2}} +{c}^{\mathrm{2}} } \\ $$$${CA}=\sqrt{{c}^{\mathrm{2}} +{a}^{\mathrm{2}} } \\ $$$${the}\:{volume}\:{of}\:{the}\:{tetrahedron}\:{is}\:{V}. \\ $$$${V}=\frac{\mathrm{1}}{\mathrm{3}}×\frac{{ab}}{\mathrm{2}}×{c}=\frac{{abc}}{\mathrm{6}} \\ $$$${or} \\ $$$${V}=\frac{\mathrm{1}}{\mathrm{3}}×\Delta_{{ABC}} ×{h}\:{with}\:\Delta_{{ABC}} ={area}\:{ABC} \\ $$$$ \\ $$$$\Delta_{{ABC}} =\frac{\mathrm{1}}{\mathrm{2}}×{AB}×{AC}×\mathrm{sin}\:\angle{BAC} \\ $$$$\Delta_{{ABC}} =\frac{\sqrt{\left({a}^{\mathrm{2}} +{b}^{\mathrm{2}} \right)\left({c}^{\mathrm{2}} +{a}^{\mathrm{2}} \right)}}{\mathrm{2}}×\mathrm{sin}\:\angle{BAC} \\ $$$${BC}^{\mathrm{2}} ={AB}^{\mathrm{2}} +{AC}^{\mathrm{2}} −\mathrm{2}×{AB}×{AC}×\mathrm{cos}\:\angle{BAC} \\ $$$${b}^{\mathrm{2}} +{c}^{\mathrm{2}} ={a}^{\mathrm{2}} +{b}^{\mathrm{2}} +{c}^{\mathrm{2}} +{a}^{\mathrm{2}} −\mathrm{2}\sqrt{\left({a}^{\mathrm{2}} +{b}^{\mathrm{2}} \right)\left({c}^{\mathrm{2}} +{a}^{\mathrm{2}} \right)}×\mathrm{cos}\:\angle{BAC} \\ $$$${a}^{\mathrm{2}} =\sqrt{\left({a}^{\mathrm{2}} +{b}^{\mathrm{2}} \right)\left({c}^{\mathrm{2}} +{a}^{\mathrm{2}} \right)}×\mathrm{cos}\:\angle{BAC} \\ $$$$\Rightarrow\mathrm{cos}\:\angle{BAC}=\frac{{a}^{\mathrm{2}} }{\sqrt{\left({a}^{\mathrm{2}} +{b}^{\mathrm{2}} \right)\left({c}^{\mathrm{2}} +{a}^{\mathrm{2}} \right)}} \\ $$$$\Rightarrow\mathrm{sin}\:\angle{BAC}=\frac{\sqrt{\left({a}^{\mathrm{2}} +{b}^{\mathrm{2}} \right)\left({c}^{\mathrm{2}} +{a}^{\mathrm{2}} \right)−{a}^{\mathrm{4}} }}{\sqrt{\left({a}^{\mathrm{2}} +{b}^{\mathrm{2}} \right)\left({c}^{\mathrm{2}} +{a}^{\mathrm{2}} \right)}} \\ $$$$\Rightarrow\mathrm{sin}\:\angle{BAC}=\frac{\sqrt{{b}^{\mathrm{2}} {c}^{\mathrm{2}} +{a}^{\mathrm{2}} \left({b}^{\mathrm{2}} +{c}^{\mathrm{2}} \right)}}{\sqrt{\left({a}^{\mathrm{2}} +{b}^{\mathrm{2}} \right)\left({c}^{\mathrm{2}} +{a}^{\mathrm{2}} \right)}} \\ $$$$\Delta_{{ABC}} =\frac{\sqrt{\left({a}^{\mathrm{2}} +{b}^{\mathrm{2}} \right)\left({c}^{\mathrm{2}} +{a}^{\mathrm{2}} \right)}}{\mathrm{2}}×\frac{\sqrt{{b}^{\mathrm{2}} {c}^{\mathrm{2}} +{a}^{\mathrm{2}} \left({b}^{\mathrm{2}} +{c}^{\mathrm{2}} \right)}}{\sqrt{\left({a}^{\mathrm{2}} +{b}^{\mathrm{2}} \right)\left({c}^{\mathrm{2}} +{a}^{\mathrm{2}} \right)}} \\ $$$$\Rightarrow\Delta_{{ABC}} =\frac{\sqrt{{b}^{\mathrm{2}} {c}^{\mathrm{2}} +{a}^{\mathrm{2}} \left({b}^{\mathrm{2}} +{c}^{\mathrm{2}} \right)}}{\mathrm{2}} \\ $$$${V}=\frac{\mathrm{1}}{\mathrm{3}}×\frac{\sqrt{{b}^{\mathrm{2}} {c}^{\mathrm{2}} +{a}^{\mathrm{2}} \left({b}^{\mathrm{2}} +{c}^{\mathrm{2}} \right)}}{\mathrm{2}}×{h}=\frac{{h}\sqrt{{b}^{\mathrm{2}} {c}^{\mathrm{2}} +{a}^{\mathrm{2}} \left({b}^{\mathrm{2}} +{c}^{\mathrm{2}} \right)}}{\mathrm{6}} \\ $$$$ \\ $$$$\Rightarrow\frac{{h}\sqrt{{b}^{\mathrm{2}} {c}^{\mathrm{2}} +{a}^{\mathrm{2}} \left({b}^{\mathrm{2}} +{c}^{\mathrm{2}} \right)}}{\mathrm{6}}=\frac{{abc}}{\mathrm{6}} \\ $$$$\Rightarrow{h}^{\mathrm{2}} \left[{b}^{\mathrm{2}} {c}^{\mathrm{2}} +{a}^{\mathrm{2}} \left({b}^{\mathrm{2}} +{c}^{\mathrm{2}} \right)\right]={a}^{\mathrm{2}} {b}^{\mathrm{2}} {c}^{\mathrm{2}} \\ $$$$\Rightarrow\frac{\mathrm{1}}{{a}^{\mathrm{2}} }+\frac{\mathrm{1}}{{b}^{\mathrm{2}} }+\frac{\mathrm{1}}{{c}^{\mathrm{2}} }=\frac{\mathrm{1}}{{h}^{\mathrm{2}} } \\ $$$$ \\ $$$${since}\:{h}\:{is}\:{constant},\:{we}\:{get}\:{also}\:{for} \\ $$$${an}\:{other}\:{system}: \\ $$$$\Rightarrow\frac{\mathrm{1}}{{p}^{\mathrm{2}} }+\frac{\mathrm{1}}{{q}^{\mathrm{2}} }+\frac{\mathrm{1}}{{r}^{\mathrm{2}} }=\frac{\mathrm{1}}{{h}^{\mathrm{2}} } \\ $$$$ \\ $$$${therefore}: \\ $$$$\Rightarrow\frac{\mathrm{1}}{{a}^{\mathrm{2}} }+\frac{\mathrm{1}}{{b}^{\mathrm{2}} }+\frac{\mathrm{1}}{{c}^{\mathrm{2}} }=\frac{\mathrm{1}}{{p}^{\mathrm{2}} }+\frac{\mathrm{1}}{{q}^{\mathrm{2}} }+\frac{\mathrm{1}}{{r}^{\mathrm{2}} } \\ $$

Commented by mr W last updated on 31/Jan/20

An other way:  eqn. of plane in system 1:  (x/a)+(y/b)+(z/c)−1=0  distance from origin to plane is  h=((∣(0/a)+(0/b)+(0/c)−1∣)/(√((1/a^2 )+(1/b^2 )+(1/c^2 ))))=(1/(√((1/a^2 )+(1/b^2 )+(1/c^2 ))))    similarly in system 2 the  distance from origin to plane is  h=(1/(√((1/p^2 )+(1/p^2 )+(1/r^2 ))))  since h is in both systems the same,  (1/(√((1/a^2 )+(1/b^2 )+(1/c^2 ))))=(1/(√((1/p^2 )+(1/p^2 )+(1/r^2 ))))  ⇒(1/a^2 )+(1/b^2 )+(1/c^2 )=(1/p^2 )+(1/p^2 )+(1/r^2 )

$${An}\:{other}\:{way}: \\ $$$${eqn}.\:{of}\:{plane}\:{in}\:{system}\:\mathrm{1}: \\ $$$$\frac{{x}}{{a}}+\frac{{y}}{{b}}+\frac{{z}}{{c}}−\mathrm{1}=\mathrm{0} \\ $$$${distance}\:{from}\:{origin}\:{to}\:{plane}\:{is} \\ $$$${h}=\frac{\mid\frac{\mathrm{0}}{{a}}+\frac{\mathrm{0}}{{b}}+\frac{\mathrm{0}}{{c}}−\mathrm{1}\mid}{\sqrt{\frac{\mathrm{1}}{{a}^{\mathrm{2}} }+\frac{\mathrm{1}}{{b}^{\mathrm{2}} }+\frac{\mathrm{1}}{{c}^{\mathrm{2}} }}}=\frac{\mathrm{1}}{\sqrt{\frac{\mathrm{1}}{{a}^{\mathrm{2}} }+\frac{\mathrm{1}}{{b}^{\mathrm{2}} }+\frac{\mathrm{1}}{{c}^{\mathrm{2}} }}} \\ $$$$ \\ $$$${similarly}\:{in}\:{system}\:\mathrm{2}\:{the} \\ $$$${distance}\:{from}\:{origin}\:{to}\:{plane}\:{is} \\ $$$${h}=\frac{\mathrm{1}}{\sqrt{\frac{\mathrm{1}}{{p}^{\mathrm{2}} }+\frac{\mathrm{1}}{{p}^{\mathrm{2}} }+\frac{\mathrm{1}}{{r}^{\mathrm{2}} }}} \\ $$$${since}\:{h}\:{is}\:{in}\:{both}\:{systems}\:{the}\:{same}, \\ $$$$\frac{\mathrm{1}}{\sqrt{\frac{\mathrm{1}}{{a}^{\mathrm{2}} }+\frac{\mathrm{1}}{{b}^{\mathrm{2}} }+\frac{\mathrm{1}}{{c}^{\mathrm{2}} }}}=\frac{\mathrm{1}}{\sqrt{\frac{\mathrm{1}}{{p}^{\mathrm{2}} }+\frac{\mathrm{1}}{{p}^{\mathrm{2}} }+\frac{\mathrm{1}}{{r}^{\mathrm{2}} }}} \\ $$$$\Rightarrow\frac{\mathrm{1}}{{a}^{\mathrm{2}} }+\frac{\mathrm{1}}{{b}^{\mathrm{2}} }+\frac{\mathrm{1}}{{c}^{\mathrm{2}} }=\frac{\mathrm{1}}{{p}^{\mathrm{2}} }+\frac{\mathrm{1}}{{p}^{\mathrm{2}} }+\frac{\mathrm{1}}{{r}^{\mathrm{2}} } \\ $$

Commented by TawaTawa last updated on 31/Jan/20

Weldon sir, God bless you

$$\mathrm{Weldon}\:\mathrm{sir},\:\mathrm{God}\:\mathrm{bless}\:\mathrm{you} \\ $$

Terms of Service

Privacy Policy

Contact: info@tinkutara.com