Question and Answers Forum

All Questions      Topic List

None Questions

Previous in All Question      Next in All Question      

Previous in None      Next in None      

Question Number 216350 by deleted31 last updated on 05/Feb/25

S is the boundary surface of the  surrounded by the cylinder x^2 +y^2 =9  and plane z=0 , z=2 and  and vector Field F^→ ;R^3 →R^3   F^→ (x,y,z)=3ye_1 ^→ +yze_2 ^→ −xyz^5 e_3 ^→   ∫∫_(S)   F^→ ∙dS^→ =?

$$\mathcal{S}\:\mathrm{is}\:\mathrm{the}\:\mathrm{boundary}\:\mathrm{surface}\:\mathrm{of}\:\mathrm{the} \\ $$$$\mathrm{surrounded}\:\mathrm{by}\:\mathrm{the}\:\mathrm{cylinder}\:{x}^{\mathrm{2}} +{y}^{\mathrm{2}} =\mathrm{9} \\ $$$$\mathrm{and}\:\mathrm{plane}\:{z}=\mathrm{0}\:,\:{z}=\mathrm{2}\:\mathrm{and} \\ $$$$\mathrm{and}\:\mathrm{vector}\:\mathrm{Field}\:\overset{\rightarrow} {\boldsymbol{\mathrm{F}}};\mathbb{R}^{\mathrm{3}} \rightarrow\mathbb{R}^{\mathrm{3}} \\ $$$$\overset{\rightarrow} {\boldsymbol{\mathrm{F}}}\left({x},{y},{z}\right)=\mathrm{3}{y}\overset{\rightarrow} {\boldsymbol{\mathrm{e}}}_{\mathrm{1}} +{yz}\overset{\rightarrow} {\boldsymbol{\mathrm{e}}}_{\mathrm{2}} −{xyz}^{\mathrm{5}} \overset{\rightarrow} {\boldsymbol{\mathrm{e}}}_{\mathrm{3}} \\ $$$$\underset{\mathcal{S}} {\int\int}\:\:\overset{\rightarrow} {\boldsymbol{\mathrm{F}}}\centerdot\mathrm{d}\overset{\rightarrow} {\boldsymbol{\mathrm{S}}}=? \\ $$

Answered by MrGaster last updated on 06/Feb/25

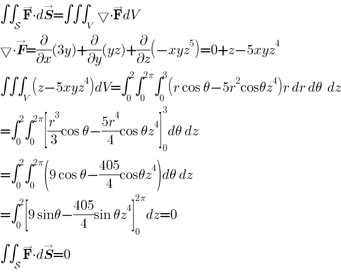
∫∫_S F^→ ∙dS^→ =∫∫∫_(V ) ▽∙F^→ dV  ▽∙F^→ =(∂/∂x)(3y)+(∂/∂y)(yz)+(∂/∂z)(−xyz^5 )=0+z−5xyz^4   ∫∫∫_V (z−5xyz^4 )dV=∫_0 ^2 ∫_0 ^(2π) ∫_0 ^3 (r cos θ−5r^2 cosθz^4 )r dr dθ  dz  =∫_0 ^2 ∫_0 ^(2π) [(r^3 /3)cos θ−((5r^4 )/4)cos θz^4 ]_0 ^3 dθ dz  =∫_0 ^2 ∫_0 ^(2π) (9 cos θ−((405)/4)cosθz^4 )dθ dz  =∫_0 ^2 [9 sinθ−((405)/4)sin θz^4 ]_0 ^(2π) dz=0  ∫∫_S F^→ ∙dS^→ =0

$$\int\int_{\mathcal{S}} \overset{\rightarrow} {\boldsymbol{\mathrm{F}}}\centerdot{d}\overset{\rightarrow} {\boldsymbol{{S}}}=\int\int\int_{{V}\:} \bigtriangledown\centerdot\overset{\rightarrow} {\boldsymbol{\mathrm{F}}}{dV} \\ $$$$\bigtriangledown\centerdot\overset{\rightarrow} {\boldsymbol{{F}}}=\frac{\partial}{\partial{x}}\left(\mathrm{3}{y}\right)+\frac{\partial}{\partial{y}}\left({yz}\right)+\frac{\partial}{\partial{z}}\left(−{xyz}^{\mathrm{5}} \right)=\mathrm{0}+{z}−\mathrm{5}{xyz}^{\mathrm{4}} \\ $$$$\int\int\int_{{V}} \left({z}−\mathrm{5}{xyz}^{\mathrm{4}} \right){dV}=\int_{\mathrm{0}} ^{\mathrm{2}} \int_{\mathrm{0}} ^{\mathrm{2}\pi} \int_{\mathrm{0}} ^{\mathrm{3}} \left({r}\:\mathrm{cos}\:\theta−\mathrm{5}{r}^{\mathrm{2}} \mathrm{cos}\theta{z}^{\mathrm{4}} \right){r}\:{dr}\:{d}\theta\:\:{dz} \\ $$$$=\int_{\mathrm{0}} ^{\mathrm{2}} \int_{\mathrm{0}} ^{\mathrm{2}\pi} \left[\frac{{r}^{\mathrm{3}} }{\mathrm{3}}\mathrm{cos}\:\theta−\frac{\mathrm{5}{r}^{\mathrm{4}} }{\mathrm{4}}\mathrm{cos}\:\theta{z}^{\mathrm{4}} \right]_{\mathrm{0}} ^{\mathrm{3}} {d}\theta\:{dz} \\ $$$$=\int_{\mathrm{0}} ^{\mathrm{2}} \int_{\mathrm{0}} ^{\mathrm{2}\pi} \left(\mathrm{9}\:\mathrm{cos}\:\theta−\frac{\mathrm{405}}{\mathrm{4}}\mathrm{cos}\theta{z}^{\mathrm{4}} \right){d}\theta\:{dz} \\ $$$$=\int_{\mathrm{0}} ^{\mathrm{2}} \left[\mathrm{9}\:\mathrm{sin}\theta−\frac{\mathrm{405}}{\mathrm{4}}\mathrm{sin}\:\theta{z}^{\mathrm{4}} \right]_{\mathrm{0}} ^{\mathrm{2}\pi} {dz}=\mathrm{0} \\ $$$$\int\int_{\mathcal{S}} \overset{\rightarrow} {\boldsymbol{\mathrm{F}}}\centerdot{d}\overset{\rightarrow} {\boldsymbol{{S}}}=\mathrm{0} \\ $$

Terms of Service

Privacy Policy

Contact: info@tinkutara.com