Question and Answers Forum

All Questions      Topic List

Others Questions

Previous in All Question      Next in All Question      

Previous in Others      Next in Others      

Question Number 162151 by Tawa11 last updated on 27/Dec/21

Answered by mr W last updated on 27/Dec/21

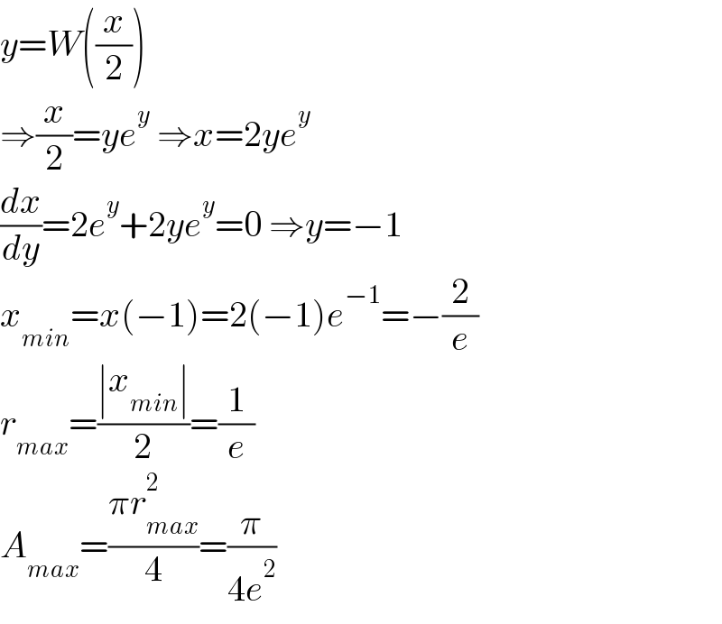
y=W((x/2))  ⇒(x/2)=ye^y  ⇒x=2ye^y   (dx/dy)=2e^y +2ye^y =0 ⇒y=−1  x_(min) =x(−1)=2(−1)e^(−1) =−(2/e)  r_(max) =((∣x_(min) ∣)/2)=(1/e)  A_(max) =((πr_(max) ^2 )/4)=(π/(4e^2 ))

$${y}={W}\left(\frac{{x}}{\mathrm{2}}\right) \\ $$$$\Rightarrow\frac{{x}}{\mathrm{2}}={ye}^{{y}} \:\Rightarrow{x}=\mathrm{2}{ye}^{{y}} \\ $$$$\frac{{dx}}{{dy}}=\mathrm{2}{e}^{{y}} +\mathrm{2}{ye}^{{y}} =\mathrm{0}\:\Rightarrow{y}=−\mathrm{1} \\ $$$${x}_{{min}} ={x}\left(−\mathrm{1}\right)=\mathrm{2}\left(−\mathrm{1}\right){e}^{−\mathrm{1}} =−\frac{\mathrm{2}}{{e}} \\ $$$${r}_{{max}} =\frac{\mid{x}_{{min}} \mid}{\mathrm{2}}=\frac{\mathrm{1}}{{e}} \\ $$$${A}_{{max}} =\frac{\pi{r}_{{max}} ^{\mathrm{2}} }{\mathrm{4}}=\frac{\pi}{\mathrm{4}{e}^{\mathrm{2}} } \\ $$

Commented by mr W last updated on 27/Dec/21

Commented by Tawa11 last updated on 27/Dec/21

Wow, great sir. I really appreciate. God bless you sir.

$$\mathrm{Wow},\:\mathrm{great}\:\mathrm{sir}.\:\mathrm{I}\:\mathrm{really}\:\mathrm{appreciate}.\:\mathrm{God}\:\mathrm{bless}\:\mathrm{you}\:\mathrm{sir}. \\ $$

Commented by Tawa11 last updated on 27/Dec/21

Sir, how can I compute the circle on grapher. Command?.

$$\mathrm{Sir},\:\mathrm{how}\:\mathrm{can}\:\mathrm{I}\:\mathrm{compute}\:\mathrm{the}\:\mathrm{circle}\:\mathrm{on}\:\mathrm{grapher}.\:\mathrm{Command}?. \\ $$

Commented by mr W last updated on 27/Dec/21

i don′t know what you mean with   compute circle. with grapher you  don′t compute a circle, you display  a circle, e.g. (x−a)^2 +(y−b)^2 =c^2 .

$${i}\:{don}'{t}\:{know}\:{what}\:{you}\:{mean}\:{with}\: \\ $$$${compute}\:{circle}.\:{with}\:{grapher}\:{you} \\ $$$${don}'{t}\:{compute}\:{a}\:{circle},\:{you}\:{display} \\ $$$${a}\:{circle},\:{e}.{g}.\:\left({x}−{a}\right)^{\mathrm{2}} +\left({y}−{b}\right)^{\mathrm{2}} ={c}^{\mathrm{2}} . \\ $$

Commented by aleks041103 last updated on 28/Dec/21

I think you still need to show that this  radius doesn′t exceed the radius of   curvature at that point.

$${I}\:{think}\:{you}\:{still}\:{need}\:{to}\:{show}\:{that}\:{this} \\ $$$${radius}\:{doesn}'{t}\:{exceed}\:{the}\:{radius}\:{of}\: \\ $$$${curvature}\:{at}\:{that}\:{point}. \\ $$

Commented by mr W last updated on 28/Dec/21

yes. i knew. i checked that also. but  since i′m not doing a school   examination here, so i don′t write  everything down which i think is  clear or obvious. anyway, thanks for  your hint!

$${yes}.\:{i}\:{knew}.\:{i}\:{checked}\:{that}\:{also}.\:{but} \\ $$$${since}\:{i}'{m}\:{not}\:{doing}\:{a}\:{school}\: \\ $$$${examination}\:{here},\:{so}\:{i}\:{don}'{t}\:{write} \\ $$$${everything}\:{down}\:{which}\:{i}\:{think}\:{is} \\ $$$${clear}\:{or}\:{obvious}.\:{anyway},\:{thanks}\:{for} \\ $$$${your}\:{hint}! \\ $$

Commented by aleks041103 last updated on 28/Dec/21

I undrstand. I didn′t want to offend  you! I′ve allways tried to write down  everything, but you showed me that  this isn′t neccessary. Thanks!

$${I}\:{undrstand}.\:{I}\:{didn}'{t}\:{want}\:{to}\:{offend} \\ $$$${you}!\:{I}'{ve}\:{allways}\:{tried}\:{to}\:{write}\:{down} \\ $$$${everything},\:{but}\:{you}\:{showed}\:{me}\:{that} \\ $$$${this}\:{isn}'{t}\:{neccessary}.\:{Thanks}! \\ $$

Commented by mr W last updated on 28/Dec/21

you decide what you want to do,  nobody else. i don′t want to show   anybody what is necessary to him,  i just do what i think is necessary to  myself.

$${you}\:{decide}\:{what}\:{you}\:{want}\:{to}\:{do}, \\ $$$${nobody}\:{else}.\:{i}\:{don}'{t}\:{want}\:{to}\:{show}\: \\ $$$${anybody}\:{what}\:{is}\:{necessary}\:{to}\:{him}, \\ $$$${i}\:{just}\:{do}\:{what}\:{i}\:{think}\:{is}\:{necessary}\:{to} \\ $$$${myself}. \\ $$

Terms of Service

Privacy Policy

Contact: info@tinkutara.com