Question and Answers Forum

All Questions      Topic List

Algebra Questions

Previous in All Question      Next in All Question      

Previous in Algebra      Next in Algebra      

Question Number 12080 by sin (x) last updated on 12/Apr/17

Answered by ajfour last updated on 12/Apr/17

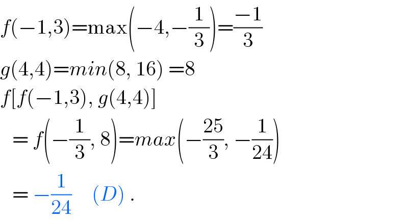
f(−1,3)=max(−4,−(1/3))=((−1)/3)  g(4,4)=min(8, 16) =8  f[f(−1,3), g(4,4)]     = f(−(1/3), 8)=max(−((25)/3), −(1/(24)))     = −(1/(24))     (D) .

$${f}\left(−\mathrm{1},\mathrm{3}\right)=\mathrm{max}\left(−\mathrm{4},−\frac{\mathrm{1}}{\mathrm{3}}\right)=\frac{−\mathrm{1}}{\mathrm{3}} \\ $$$${g}\left(\mathrm{4},\mathrm{4}\right)={min}\left(\mathrm{8},\:\mathrm{16}\right)\:=\mathrm{8} \\ $$$${f}\left[{f}\left(−\mathrm{1},\mathrm{3}\right),\:{g}\left(\mathrm{4},\mathrm{4}\right)\right] \\ $$$$\:\:\:=\:{f}\left(−\frac{\mathrm{1}}{\mathrm{3}},\:\mathrm{8}\right)={max}\left(−\frac{\mathrm{25}}{\mathrm{3}},\:−\frac{\mathrm{1}}{\mathrm{24}}\right) \\ $$$$\:\:\:=\:−\frac{\mathrm{1}}{\mathrm{24}}\:\:\:\:\:\left({D}\right)\:. \\ $$

Terms of Service

Privacy Policy

Contact: [email protected]