Question and Answers Forum

All Questions      Topic List

Differentiation Questions

Previous in All Question      Next in All Question      

Previous in Differentiation      Next in Differentiation      

Question Number 137741 by bemath last updated on 06/Apr/21

  How do I use the Lagrange multiplier method to find the maximum of the function f(x,y)=4-2x-2y on the curve x^2+y^2=4?

$$ \\ $$How do I use the Lagrange multiplier method to find the maximum of the function f(x,y)=4-2x-2y on the curve x^2+y^2=4?

Answered by TheSupreme last updated on 06/Apr/21

you can find abs max and min, searching relative max and mkn[of  g(x,y,λ)=4−2x−2y+λ(x^2 +y^2 −4)  so   grad g(x,y,λ)= { ((−2+2λx=0)),((−2+2λy=0)),((x^2 +y^2 −4=0)) :}   { ((x=(1/λ))),((y=(1/λ))),(((2/λ^2 )=4)) :}  (x,y,λ)=((√2),(√2),((√2)/2))  (x,y,λ)=(−(√2),−(√2),−((√2)/2))

$${you}\:{can}\:{find}\:{abs}\:{max}\:{and}\:{min},\:{searching}\:{relative}\:{max}\:{and}\:{mkn}\left[{of}\right. \\ $$$${g}\left({x},{y},\lambda\right)=\mathrm{4}−\mathrm{2}{x}−\mathrm{2}{y}+\lambda\left({x}^{\mathrm{2}} +{y}^{\mathrm{2}} −\mathrm{4}\right) \\ $$$${so}\: \\ $$$${grad}\:{g}\left({x},{y},\lambda\right)=\begin{cases}{−\mathrm{2}+\mathrm{2}\lambda{x}=\mathrm{0}}\\{−\mathrm{2}+\mathrm{2}\lambda{y}=\mathrm{0}}\\{{x}^{\mathrm{2}} +{y}^{\mathrm{2}} −\mathrm{4}=\mathrm{0}}\end{cases} \\ $$$$\begin{cases}{{x}=\frac{\mathrm{1}}{\lambda}}\\{{y}=\frac{\mathrm{1}}{\lambda}}\\{\frac{\mathrm{2}}{\lambda^{\mathrm{2}} }=\mathrm{4}}\end{cases} \\ $$$$\left({x},{y},\lambda\right)=\left(\sqrt{\mathrm{2}},\sqrt{\mathrm{2}},\frac{\sqrt{\mathrm{2}}}{\mathrm{2}}\right) \\ $$$$\left({x},{y},\lambda\right)=\left(−\sqrt{\mathrm{2}},−\sqrt{\mathrm{2}},−\frac{\sqrt{\mathrm{2}}}{\mathrm{2}}\right) \\ $$

Answered by mr W last updated on 06/Apr/21

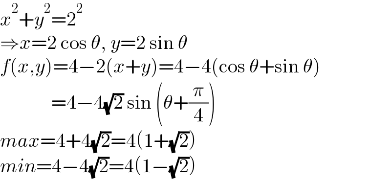
x^2 +y^2 =2^2   ⇒x=2 cos θ, y=2 sin θ  f(x,y)=4−2(x+y)=4−4(cos θ+sin θ)               =4−4(√2) sin (θ+(π/4))  max=4+4(√2)=4(1+(√2))  min=4−4(√2)=4(1−(√2))

$${x}^{\mathrm{2}} +{y}^{\mathrm{2}} =\mathrm{2}^{\mathrm{2}} \\ $$$$\Rightarrow{x}=\mathrm{2}\:\mathrm{cos}\:\theta,\:{y}=\mathrm{2}\:\mathrm{sin}\:\theta \\ $$$${f}\left({x},{y}\right)=\mathrm{4}−\mathrm{2}\left({x}+{y}\right)=\mathrm{4}−\mathrm{4}\left(\mathrm{cos}\:\theta+\mathrm{sin}\:\theta\right) \\ $$$$\:\:\:\:\:\:\:\:\:\:\:\:\:=\mathrm{4}−\mathrm{4}\sqrt{\mathrm{2}}\:\mathrm{sin}\:\left(\theta+\frac{\pi}{\mathrm{4}}\right) \\ $$$${max}=\mathrm{4}+\mathrm{4}\sqrt{\mathrm{2}}=\mathrm{4}\left(\mathrm{1}+\sqrt{\mathrm{2}}\right) \\ $$$${min}=\mathrm{4}−\mathrm{4}\sqrt{\mathrm{2}}=\mathrm{4}\left(\mathrm{1}−\sqrt{\mathrm{2}}\right) \\ $$

Terms of Service

Privacy Policy

Contact: info@tinkutara.com