Question and Answers Forum

All Questions      Topic List

Integration Questions

Previous in All Question      Next in All Question      

Previous in Integration      Next in Integration      

Question Number 193982 by cortano12 last updated on 25/Jun/23

     ∫ ((6x^3 +9x^2 +15x+6)/( (√(x^2 +x+1)))) dx =?

$$\:\:\:\:\:\int\:\frac{\mathrm{6x}^{\mathrm{3}} +\mathrm{9x}^{\mathrm{2}} +\mathrm{15x}+\mathrm{6}}{\:\sqrt{\mathrm{x}^{\mathrm{2}} +\mathrm{x}+\mathrm{1}}}\:\mathrm{dx}\:=? \\ $$

Answered by MM42 last updated on 26/Jun/23

I=(ax^2 +bx+e)(√(x^2 +x+1))+f∫(dx/( (√(x^2 +c+1))))  ⇒^d   ((6x^3 +9x^2 +15x+6)/( (√(x^2 +x+1)))) = (2ax+b)(√(x^2 +x+1)) +(((ax^2 +bx+e)(2x+1))/(2(√(x^2 +x+1)))) + (f/( (√(x^2 +x+1))))  ⇒a=2 , b=(4/3) , e=((25)/3) , f=−((35)/3)  I=(2x^2 +(4/3)x+((25)/3))(√(x^2 +x+1))−((35)/3)∫(( dx)/( (√(x^2 +x+1))))   ★ ∫(dx/( (√(x^2 +x+1))))=∫(dx/( (√((x+(1/2))^2 +(3/4))))) =ln(x+(1/2)+(√(x^2 +x+1)))+c

$${I}=\left({ax}^{\mathrm{2}} +{bx}+{e}\right)\sqrt{{x}^{\mathrm{2}} +{x}+\mathrm{1}}+{f}\int\frac{{dx}}{\:\sqrt{{x}^{\mathrm{2}} +{c}+\mathrm{1}}} \\ $$$$\overset{{d}\:} {\Rightarrow}\:\frac{\mathrm{6}{x}^{\mathrm{3}} +\mathrm{9}{x}^{\mathrm{2}} +\mathrm{15}{x}+\mathrm{6}}{\:\sqrt{{x}^{\mathrm{2}} +{x}+\mathrm{1}}}\:=\:\left(\mathrm{2}{ax}+{b}\right)\sqrt{{x}^{\mathrm{2}} +{x}+\mathrm{1}}\:+\frac{\left({ax}^{\mathrm{2}} +{bx}+{e}\right)\left(\mathrm{2}{x}+\mathrm{1}\right)}{\mathrm{2}\sqrt{{x}^{\mathrm{2}} +{x}+\mathrm{1}}}\:+\:\frac{{f}}{\:\sqrt{{x}^{\mathrm{2}} +{x}+\mathrm{1}}} \\ $$$$\Rightarrow{a}=\mathrm{2}\:,\:{b}=\frac{\mathrm{4}}{\mathrm{3}}\:,\:{e}=\frac{\mathrm{25}}{\mathrm{3}}\:,\:{f}=−\frac{\mathrm{35}}{\mathrm{3}} \\ $$$${I}=\left(\mathrm{2}{x}^{\mathrm{2}} +\frac{\mathrm{4}}{\mathrm{3}}{x}+\frac{\mathrm{25}}{\mathrm{3}}\right)\sqrt{{x}^{\mathrm{2}} +{x}+\mathrm{1}}−\frac{\mathrm{35}}{\mathrm{3}}\int\frac{\:{dx}}{\:\sqrt{{x}^{\mathrm{2}} +{x}+\mathrm{1}}} \\ $$$$\:\bigstar\:\int\frac{{dx}}{\:\sqrt{{x}^{\mathrm{2}} +{x}+\mathrm{1}}}=\int\frac{{dx}}{\:\sqrt{\left({x}+\frac{\mathrm{1}}{\mathrm{2}}\right)^{\mathrm{2}} +\frac{\mathrm{3}}{\mathrm{4}}}}\:={ln}\left({x}+\frac{\mathrm{1}}{\mathrm{2}}+\sqrt{{x}^{\mathrm{2}} +{x}+\mathrm{1}}\right)+{c}\: \\ $$$$ \\ $$

Commented by Frix last updated on 25/Jun/23

?

$$? \\ $$

Answered by Frix last updated on 25/Jun/23

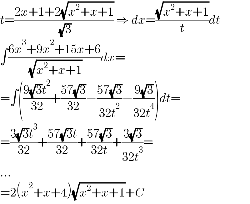
t=((2x+1+2(√(x^2 +x+1)))/( (√3))) ⇒ dx=((√(x^2 +x+1))/t)dt  ∫((6x^3 +9x^2 +15x+6)/( (√(x^2 +x+1))))dx=  =∫(((9(√3)t^2 )/(32))+((57(√3))/(32))−((57(√3))/(32t^2 ))−((9(√3))/(32t^4 )))dt=  =((3(√3)t^3 )/(32))+((57(√3)t)/(32))+((57(√3))/(32t))+((3(√3))/(32t^3 ))=  ...  =2(x^2 +x+4)(√(x^2 +x+1))+C

$${t}=\frac{\mathrm{2}{x}+\mathrm{1}+\mathrm{2}\sqrt{{x}^{\mathrm{2}} +{x}+\mathrm{1}}}{\:\sqrt{\mathrm{3}}}\:\Rightarrow\:{dx}=\frac{\sqrt{{x}^{\mathrm{2}} +{x}+\mathrm{1}}}{{t}}{dt} \\ $$$$\int\frac{\mathrm{6}{x}^{\mathrm{3}} +\mathrm{9}{x}^{\mathrm{2}} +\mathrm{15}{x}+\mathrm{6}}{\:\sqrt{{x}^{\mathrm{2}} +{x}+\mathrm{1}}}{dx}= \\ $$$$=\int\left(\frac{\mathrm{9}\sqrt{\mathrm{3}}{t}^{\mathrm{2}} }{\mathrm{32}}+\frac{\mathrm{57}\sqrt{\mathrm{3}}}{\mathrm{32}}−\frac{\mathrm{57}\sqrt{\mathrm{3}}}{\mathrm{32}{t}^{\mathrm{2}} }−\frac{\mathrm{9}\sqrt{\mathrm{3}}}{\mathrm{32}{t}^{\mathrm{4}} }\right){dt}= \\ $$$$=\frac{\mathrm{3}\sqrt{\mathrm{3}}{t}^{\mathrm{3}} }{\mathrm{32}}+\frac{\mathrm{57}\sqrt{\mathrm{3}}{t}}{\mathrm{32}}+\frac{\mathrm{57}\sqrt{\mathrm{3}}}{\mathrm{32}{t}}+\frac{\mathrm{3}\sqrt{\mathrm{3}}}{\mathrm{32}{t}^{\mathrm{3}} }= \\ $$$$... \\ $$$$=\mathrm{2}\left({x}^{\mathrm{2}} +{x}+\mathrm{4}\right)\sqrt{{x}^{\mathrm{2}} +{x}+\mathrm{1}}+{C} \\ $$

Answered by horsebrand11 last updated on 26/Jun/23

    determinant (((Solution)))    I=∫ ((6x^3 +9x^2 +15x+6)/( (√(x^2 +x+1)))) dx    = ∫ ((3(2x+1)(x^2 +x+1)+3(2x+1))/( (√(x^2 +x+1)))) dx   = ∫ 3(2x+1)(√(x^2 +x+1)) dx +∫ ((3(2x+1))/( (√(x^2 +x+1)))) dx   = ∫ 3 (√w) dw +∫ 3(dw/( (√w))) .  determinant (((w=x^2 +x+1)))   = 2(√w^3 ) + 6(√w) + c    = 2(√((x^2 +x+1)^3 )) +6(√(x^2 +x+1)) + c    =  determinant (((2(√(x^2 +x+1)) (x^2 +x+4) + c)))

$$\:\: \begin{array}{|c|}{\mathrm{Solution}}\\\hline\end{array}\: \\ $$$$\:\mathrm{I}=\int\:\frac{\mathrm{6x}^{\mathrm{3}} +\mathrm{9x}^{\mathrm{2}} +\mathrm{15x}+\mathrm{6}}{\:\sqrt{\mathrm{x}^{\mathrm{2}} +\mathrm{x}+\mathrm{1}}}\:\mathrm{dx}\: \\ $$$$\:=\:\int\:\frac{\mathrm{3}\left(\mathrm{2x}+\mathrm{1}\right)\left(\mathrm{x}^{\mathrm{2}} +\mathrm{x}+\mathrm{1}\right)+\mathrm{3}\left(\mathrm{2x}+\mathrm{1}\right)}{\:\sqrt{\mathrm{x}^{\mathrm{2}} +\mathrm{x}+\mathrm{1}}}\:\mathrm{dx} \\ $$$$\:=\:\int\:\mathrm{3}\left(\mathrm{2x}+\mathrm{1}\right)\sqrt{\mathrm{x}^{\mathrm{2}} +\mathrm{x}+\mathrm{1}}\:\mathrm{dx}\:+\int\:\frac{\mathrm{3}\left(\mathrm{2x}+\mathrm{1}\right)}{\:\sqrt{\mathrm{x}^{\mathrm{2}} +\mathrm{x}+\mathrm{1}}}\:\mathrm{dx} \\ $$$$\:=\:\int\:\mathrm{3}\:\sqrt{\mathrm{w}}\:\mathrm{dw}\:+\int\:\mathrm{3}\frac{\mathrm{dw}}{\:\sqrt{\mathrm{w}}}\:.\:\begin{array}{|c|}{\mathrm{w}=\mathrm{x}^{\mathrm{2}} +\mathrm{x}+\mathrm{1}}\\\hline\end{array} \\ $$$$\:=\:\mathrm{2}\sqrt{\mathrm{w}^{\mathrm{3}} }\:+\:\mathrm{6}\sqrt{\mathrm{w}}\:+\:\mathrm{c}\: \\ $$$$\:=\:\mathrm{2}\sqrt{\left(\mathrm{x}^{\mathrm{2}} +\mathrm{x}+\mathrm{1}\right)^{\mathrm{3}} }\:+\mathrm{6}\sqrt{\mathrm{x}^{\mathrm{2}} +\mathrm{x}+\mathrm{1}}\:+\:\mathrm{c}\: \\ $$$$\:=\:\begin{array}{|c|}{\mathrm{2}\sqrt{\mathrm{x}^{\mathrm{2}} +\mathrm{x}+\mathrm{1}}\:\left(\mathrm{x}^{\mathrm{2}} +\mathrm{x}+\mathrm{4}\right)\:+\:\mathrm{c}}\\\hline\end{array}\: \\ $$$$\: \\ $$

Commented by Frix last updated on 26/Jun/23

Test your solution  ((d[2(√(x^2 +x+1))(x^2 +x+2)])/dx)=((6x^3 +9x^2 +11x+4)/( (√(x^2 +x+1))))

$$\mathrm{Test}\:\mathrm{your}\:\mathrm{solution} \\ $$$$\frac{{d}\left[\mathrm{2}\sqrt{{x}^{\mathrm{2}} +{x}+\mathrm{1}}\left({x}^{\mathrm{2}} +{x}+\mathrm{2}\right)\right]}{{dx}}=\frac{\mathrm{6}{x}^{\mathrm{3}} +\mathrm{9}{x}^{\mathrm{2}} +\mathrm{11}{x}+\mathrm{4}}{\:\sqrt{{x}^{\mathrm{2}} +{x}+\mathrm{1}}} \\ $$

Commented by Frix last updated on 26/Jun/23

Now it′s correct.

$$\mathrm{Now}\:\mathrm{it}'\mathrm{s}\:\mathrm{correct}. \\ $$

Terms of Service

Privacy Policy

Contact: [email protected]