Question and Answers Forum

All Questions      Topic List

Algebra Questions

Previous in All Question      Next in All Question      

Previous in Algebra      Next in Algebra      

Question Number 102490 by ajfour last updated on 09/Jul/20

x^3 −bx−c=0     ;  b, c >0 ;  ((b/3))^3 >((c/2))^2   To find the three real roots without  the use of trigonometric solution  to cubic polynomial...

$${x}^{\mathrm{3}} −{bx}−{c}=\mathrm{0}\:\:\:\:\:;\:\:{b},\:{c}\:>\mathrm{0}\:;\:\:\left(\frac{{b}}{\mathrm{3}}\right)^{\mathrm{3}} >\left(\frac{{c}}{\mathrm{2}}\right)^{\mathrm{2}} \\ $$ $${To}\:{find}\:{the}\:{three}\:{real}\:{roots}\:{without} \\ $$ $${the}\:{use}\:{of}\:{trigonometric}\:{solution} \\ $$ $${to}\:{cubic}\:{polynomial}... \\ $$

Answered by ajfour last updated on 10/Jul/20

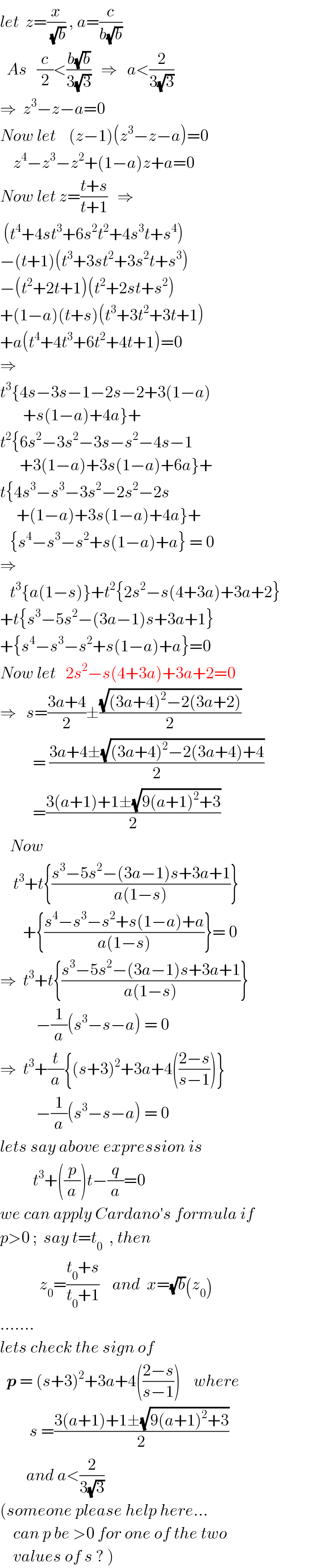
let  z=(x/(√b)) , a=(c/(b(√b)))    As   (c/2)<((b(√b))/(3(√3)))   ⇒   a<(2/(3(√3)))  ⇒  z^3 −z−a=0  Now let    (z−1)(z^3 −z−a)=0      z^4 −z^3 −z^2 +(1−a)z+a=0  Now let z=((t+s)/(t+1))   ⇒   (t^4 +4st^3 +6s^2 t^2 +4s^3 t+s^4 )  −(t+1)(t^3 +3st^2 +3s^2 t+s^3 )  −(t^2 +2t+1)(t^2 +2st+s^2 )  +(1−a)(t+s)(t^3 +3t^2 +3t+1)  +a(t^4 +4t^3 +6t^2 +4t+1)=0  ⇒  t^3 {4s−3s−1−2s−2+3(1−a)         +s(1−a)+4a}+  t^2 {6s^2 −3s^2 −3s−s^2 −4s−1        +3(1−a)+3s(1−a)+6a}+  t{4s^3 −s^3 −3s^2 −2s^2 −2s       +(1−a)+3s(1−a)+4a}+     {s^4 −s^3 −s^2 +s(1−a)+a} = 0  ⇒     t^3 {a(1−s)}+t^2 {2s^2 −s(4+3a)+3a+2}  +t{s^3 −5s^2 −(3a−1)s+3a+1}  +{s^4 −s^3 −s^2 +s(1−a)+a}=0  Now let   2s^2 −s(4+3a)+3a+2=0  ⇒   s=((3a+4)/2)±((√((3a+4)^2 −2(3a+2)))/2)            = ((3a+4±(√((3a+4)^2 −2(3a+4)+4)))/2)            =((3(a+1)+1±(√(9(a+1)^2 +3)))/2)     Now         t^3 +t{((s^3 −5s^2 −(3a−1)s+3a+1)/(a(1−s)))}         +{((s^4 −s^3 −s^2 +s(1−a)+a)/(a(1−s)))}= 0  ⇒  t^3 +t{((s^3 −5s^2 −(3a−1)s+3a+1)/(a(1−s)))}             −(1/a)(s^3 −s−a) = 0  ⇒  t^3 +(t/a){(s+3)^2 +3a+4(((2−s)/(s−1)))}             −(1/a)(s^3 −s−a) = 0  lets say above expression is            t^3 +((p/a))t−(q/a)=0  we can apply Cardano′s formula if  p>0 ;  say t=t_0   , then              z_0 =((t_0 +s)/(t_0 +1))    and  x=(√b)(z_0 )  .......  lets check the sign of     p = (s+3)^2 +3a+4(((2−s)/(s−1)))    where           s =((3(a+1)+1±(√(9(a+1)^2 +3)))/2)          and a<(2/(3(√3)))  (someone please help here...      can p be >0 for one of the two      values of s ? )

$${let}\:\:{z}=\frac{{x}}{\sqrt{{b}}}\:,\:{a}=\frac{{c}}{{b}\sqrt{{b}}} \\ $$ $$\:\:{As}\:\:\:\frac{{c}}{\mathrm{2}}<\frac{{b}\sqrt{{b}}}{\mathrm{3}\sqrt{\mathrm{3}}}\:\:\:\Rightarrow\:\:\:{a}<\frac{\mathrm{2}}{\mathrm{3}\sqrt{\mathrm{3}}} \\ $$ $$\Rightarrow\:\:{z}^{\mathrm{3}} −{z}−{a}=\mathrm{0} \\ $$ $${Now}\:{let}\:\:\:\:\left({z}−\mathrm{1}\right)\left({z}^{\mathrm{3}} −{z}−{a}\right)=\mathrm{0} \\ $$ $$\:\:\:\:{z}^{\mathrm{4}} −{z}^{\mathrm{3}} −{z}^{\mathrm{2}} +\left(\mathrm{1}−{a}\right){z}+{a}=\mathrm{0} \\ $$ $${Now}\:{let}\:{z}=\frac{{t}+{s}}{{t}+\mathrm{1}}\:\:\:\Rightarrow \\ $$ $$\:\left({t}^{\mathrm{4}} +\mathrm{4}{st}^{\mathrm{3}} +\mathrm{6}{s}^{\mathrm{2}} {t}^{\mathrm{2}} +\mathrm{4}{s}^{\mathrm{3}} {t}+{s}^{\mathrm{4}} \right) \\ $$ $$−\left({t}+\mathrm{1}\right)\left({t}^{\mathrm{3}} +\mathrm{3}{st}^{\mathrm{2}} +\mathrm{3}{s}^{\mathrm{2}} {t}+{s}^{\mathrm{3}} \right) \\ $$ $$−\left({t}^{\mathrm{2}} +\mathrm{2}{t}+\mathrm{1}\right)\left({t}^{\mathrm{2}} +\mathrm{2}{st}+{s}^{\mathrm{2}} \right) \\ $$ $$+\left(\mathrm{1}−{a}\right)\left({t}+{s}\right)\left({t}^{\mathrm{3}} +\mathrm{3}{t}^{\mathrm{2}} +\mathrm{3}{t}+\mathrm{1}\right) \\ $$ $$+{a}\left({t}^{\mathrm{4}} +\mathrm{4}{t}^{\mathrm{3}} +\mathrm{6}{t}^{\mathrm{2}} +\mathrm{4}{t}+\mathrm{1}\right)=\mathrm{0} \\ $$ $$\Rightarrow \\ $$ $${t}^{\mathrm{3}} \left\{\mathrm{4}{s}−\mathrm{3}{s}−\mathrm{1}−\mathrm{2}{s}−\mathrm{2}+\mathrm{3}\left(\mathrm{1}−{a}\right)\right. \\ $$ $$\left.\:\:\:\:\:\:\:+{s}\left(\mathrm{1}−{a}\right)+\mathrm{4}{a}\right\}+ \\ $$ $${t}^{\mathrm{2}} \left\{\mathrm{6}{s}^{\mathrm{2}} −\mathrm{3}{s}^{\mathrm{2}} −\mathrm{3}{s}−{s}^{\mathrm{2}} −\mathrm{4}{s}−\mathrm{1}\right. \\ $$ $$\left.\:\:\:\:\:\:+\mathrm{3}\left(\mathrm{1}−{a}\right)+\mathrm{3}{s}\left(\mathrm{1}−{a}\right)+\mathrm{6}{a}\right\}+ \\ $$ $${t}\left\{\mathrm{4}{s}^{\mathrm{3}} −{s}^{\mathrm{3}} −\mathrm{3}{s}^{\mathrm{2}} −\mathrm{2}{s}^{\mathrm{2}} −\mathrm{2}{s}\right. \\ $$ $$\left.\:\:\:\:\:+\left(\mathrm{1}−{a}\right)+\mathrm{3}{s}\left(\mathrm{1}−{a}\right)+\mathrm{4}{a}\right\}+ \\ $$ $$\:\:\:\left\{{s}^{\mathrm{4}} −{s}^{\mathrm{3}} −{s}^{\mathrm{2}} +{s}\left(\mathrm{1}−{a}\right)+{a}\right\}\:=\:\mathrm{0} \\ $$ $$\Rightarrow \\ $$ $$\:\:\:{t}^{\mathrm{3}} \left\{{a}\left(\mathrm{1}−{s}\right)\right\}+{t}^{\mathrm{2}} \left\{\mathrm{2}{s}^{\mathrm{2}} −{s}\left(\mathrm{4}+\mathrm{3}{a}\right)+\mathrm{3}{a}+\mathrm{2}\right\} \\ $$ $$+{t}\left\{{s}^{\mathrm{3}} −\mathrm{5}{s}^{\mathrm{2}} −\left(\mathrm{3}{a}−\mathrm{1}\right){s}+\mathrm{3}{a}+\mathrm{1}\right\} \\ $$ $$+\left\{{s}^{\mathrm{4}} −{s}^{\mathrm{3}} −{s}^{\mathrm{2}} +{s}\left(\mathrm{1}−{a}\right)+{a}\right\}=\mathrm{0} \\ $$ $${Now}\:{let}\:\:\:\mathrm{2}{s}^{\mathrm{2}} −{s}\left(\mathrm{4}+\mathrm{3}{a}\right)+\mathrm{3}{a}+\mathrm{2}=\mathrm{0} \\ $$ $$\Rightarrow\:\:\:{s}=\frac{\mathrm{3}{a}+\mathrm{4}}{\mathrm{2}}\pm\frac{\sqrt{\left(\mathrm{3}{a}+\mathrm{4}\right)^{\mathrm{2}} −\mathrm{2}\left(\mathrm{3}{a}+\mathrm{2}\right)}}{\mathrm{2}} \\ $$ $$\:\:\:\:\:\:\:\:\:\:=\:\frac{\mathrm{3}{a}+\mathrm{4}\pm\sqrt{\left(\mathrm{3}{a}+\mathrm{4}\right)^{\mathrm{2}} −\mathrm{2}\left(\mathrm{3}{a}+\mathrm{4}\right)+\mathrm{4}}}{\mathrm{2}} \\ $$ $$\:\:\:\:\:\:\:\:\:\:=\frac{\mathrm{3}\left({a}+\mathrm{1}\right)+\mathrm{1}\pm\sqrt{\mathrm{9}\left({a}+\mathrm{1}\right)^{\mathrm{2}} +\mathrm{3}}}{\mathrm{2}} \\ $$ $$\:\:\:{Now}\:\:\: \\ $$ $$\:\:\:\:{t}^{\mathrm{3}} +{t}\left\{\frac{{s}^{\mathrm{3}} −\mathrm{5}{s}^{\mathrm{2}} −\left(\mathrm{3}{a}−\mathrm{1}\right){s}+\mathrm{3}{a}+\mathrm{1}}{{a}\left(\mathrm{1}−{s}\right)}\right\} \\ $$ $$\:\:\:\:\:\:\:+\left\{\frac{{s}^{\mathrm{4}} −{s}^{\mathrm{3}} −{s}^{\mathrm{2}} +{s}\left(\mathrm{1}−{a}\right)+{a}}{{a}\left(\mathrm{1}−{s}\right)}\right\}=\:\mathrm{0} \\ $$ $$\Rightarrow\:\:{t}^{\mathrm{3}} +{t}\left\{\frac{{s}^{\mathrm{3}} −\mathrm{5}{s}^{\mathrm{2}} −\left(\mathrm{3}{a}−\mathrm{1}\right){s}+\mathrm{3}{a}+\mathrm{1}}{{a}\left(\mathrm{1}−{s}\right)}\right\} \\ $$ $$\:\:\:\:\:\:\:\:\:\:\:−\frac{\mathrm{1}}{{a}}\left({s}^{\mathrm{3}} −{s}−{a}\right)\:=\:\mathrm{0} \\ $$ $$\Rightarrow\:\:{t}^{\mathrm{3}} +\frac{{t}}{{a}}\left\{\left({s}+\mathrm{3}\right)^{\mathrm{2}} +\mathrm{3}{a}+\mathrm{4}\left(\frac{\mathrm{2}−{s}}{{s}−\mathrm{1}}\right)\right\} \\ $$ $$\:\:\:\:\:\:\:\:\:\:\:−\frac{\mathrm{1}}{{a}}\left({s}^{\mathrm{3}} −{s}−{a}\right)\:=\:\mathrm{0} \\ $$ $${lets}\:{say}\:{above}\:{expression}\:{is} \\ $$ $$\:\:\:\:\:\:\:\:\:\:{t}^{\mathrm{3}} +\left(\frac{{p}}{{a}}\right){t}−\frac{{q}}{{a}}=\mathrm{0} \\ $$ $${we}\:{can}\:{apply}\:{Cardano}'{s}\:{formula}\:{if} \\ $$ $${p}>\mathrm{0}\:;\:\:{say}\:{t}={t}_{\mathrm{0}} \:\:,\:{then} \\ $$ $$\:\:\:\:\:\:\:\:\:\:\:\:{z}_{\mathrm{0}} =\frac{{t}_{\mathrm{0}} +{s}}{{t}_{\mathrm{0}} +\mathrm{1}}\:\:\:\:{and}\:\:{x}=\sqrt{{b}}\left({z}_{\mathrm{0}} \right) \\ $$ $$....... \\ $$ $${lets}\:{check}\:{the}\:{sign}\:{of}\: \\ $$ $$\:\:\boldsymbol{{p}}\:=\:\left({s}+\mathrm{3}\right)^{\mathrm{2}} +\mathrm{3}{a}+\mathrm{4}\left(\frac{\mathrm{2}−{s}}{{s}−\mathrm{1}}\right)\:\:\:\:{where} \\ $$ $$\:\:\:\:\:\:\:\:\:{s}\:=\frac{\mathrm{3}\left({a}+\mathrm{1}\right)+\mathrm{1}\pm\sqrt{\mathrm{9}\left({a}+\mathrm{1}\right)^{\mathrm{2}} +\mathrm{3}}}{\mathrm{2}} \\ $$ $$\:\:\:\:\:\:\:\:{and}\:{a}<\frac{\mathrm{2}}{\mathrm{3}\sqrt{\mathrm{3}}} \\ $$ $$\left({someone}\:{please}\:{help}\:{here}...\right. \\ $$ $$\:\:\:\:{can}\:{p}\:{be}\:>\mathrm{0}\:{for}\:{one}\:{of}\:{the}\:{two} \\ $$ $$\left.\:\:\:\:{values}\:{of}\:{s}\:?\:\right) \\ $$

Terms of Service

Privacy Policy

Contact: info@tinkutara.com