Question and Answers Forum

All Questions      Topic List

Integration Questions

Previous in All Question      Next in All Question      

Previous in Integration      Next in Integration      

Question Number 216579 by MrGaster last updated on 11/Feb/25

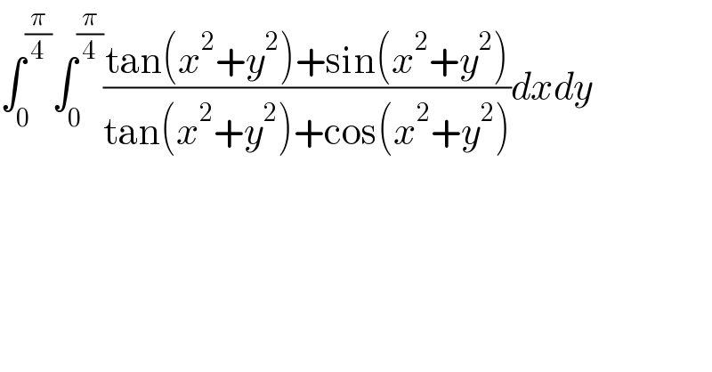
∫_0 ^(π/4) ∫_0 ^(π/4) ((tan(x^2 +y^2 )+sin(x^2 +y^2 ))/(tan(x^2 +y^2 )+cos(x^2 +y^2 )))dxdy

$$\int_{\mathrm{0}} ^{\frac{\pi}{\mathrm{4}}} \int_{\mathrm{0}} ^{\frac{\pi}{\mathrm{4}}} \frac{\mathrm{tan}\left({x}^{\mathrm{2}} +{y}^{\mathrm{2}} \right)+\mathrm{sin}\left({x}^{\mathrm{2}} +{y}^{\mathrm{2}} \right)}{\mathrm{tan}\left({x}^{\mathrm{2}} +{y}^{\mathrm{2}} \right)+\mathrm{cos}\left({x}^{\mathrm{2}} +{y}^{\mathrm{2}} \right)}{dxdy} \\ $$

Terms of Service

Privacy Policy

Contact: info@tinkutara.com