Question and Answers Forum

All Questions      Topic List

Integration Questions

Previous in All Question      Next in All Question      

Previous in Integration      Next in Integration      

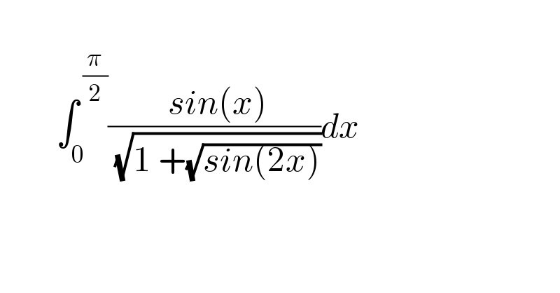
Question Number 220770 by mnjuly1970 last updated on 18/May/25

          ∫_0 ^( (π/2)) (( sin(x))/( (√(1 +(√(sin(2x)))))))dx

$$ \\ $$$$\:\:\:\:\:\:\:\:\int_{\mathrm{0}} ^{\:\frac{\pi}{\mathrm{2}}} \frac{\:{sin}\left({x}\right)}{\:\sqrt{\mathrm{1}\:+\sqrt{{sin}\left(\mathrm{2}{x}\right)}}}{dx}\: \\ $$

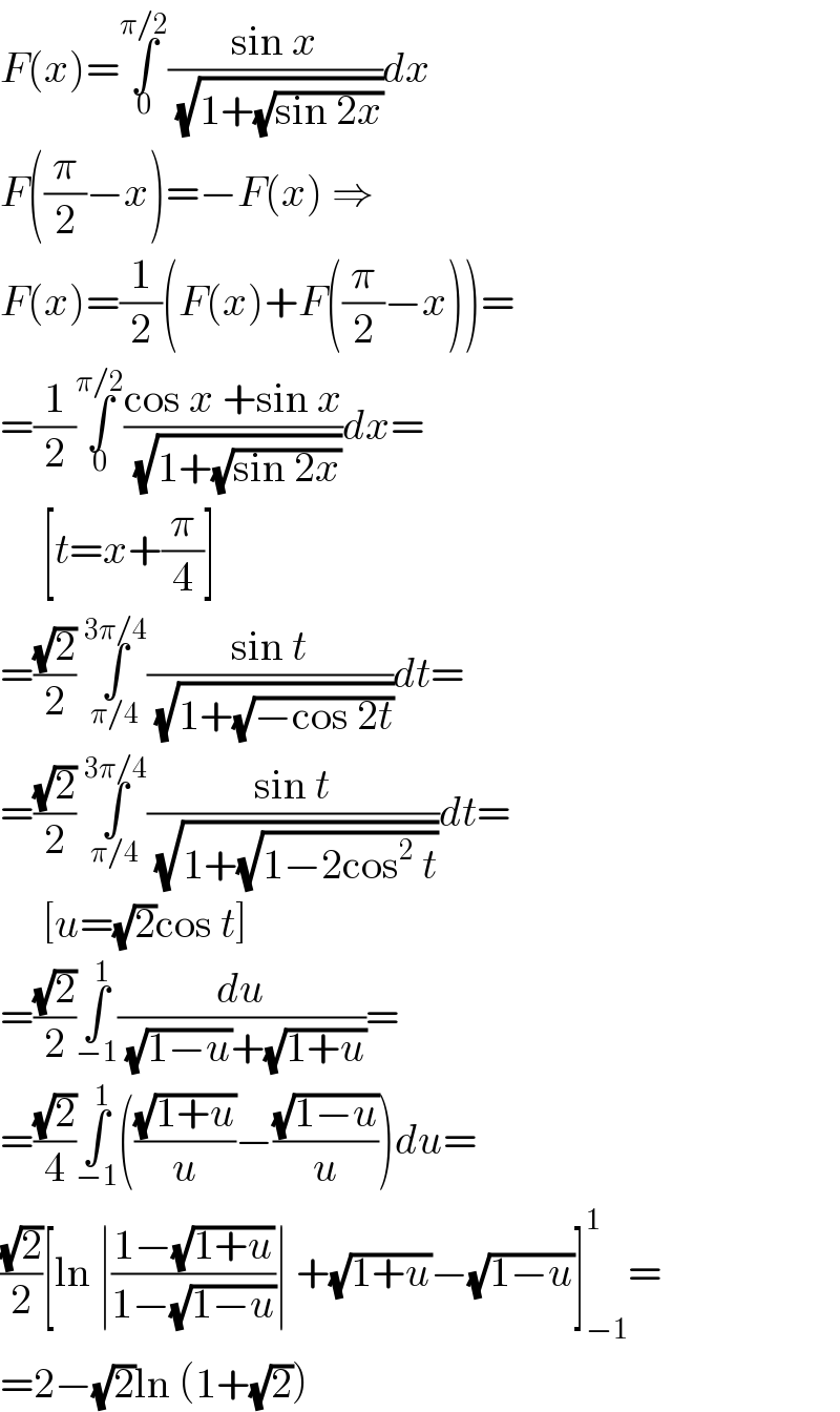
Answered by Ghisom last updated on 21/May/25

F(x)=∫_0 ^(π/2) ((sin x)/( (√(1+(√(sin 2x))))))dx  F((π/2)−x)=−F(x) ⇒  F(x)=(1/2)(F(x)+F((π/2)−x))=  =(1/2)∫_0 ^(π/2) ((cos x +sin x)/( (√(1+(√(sin 2x))))))dx=       [t=x+(π/4)]  =((√2)/2) ∫_(π/4) ^(3π/4) ((sin t)/( (√(1+(√(−cos 2t))))))dt=  =((√2)/2) ∫_(π/4) ^(3π/4) ((sin t)/( (√(1+(√(1−2cos^2  t))))))dt=       [u=(√2)cos t]  =((√2)/2)∫_(−1) ^1 (du/( (√(1−u))+(√(1+u))))=  =((√2)/4)∫_(−1) ^1 (((√(1+u))/u)−((√(1−u))/u))du=  ((√2)/2)[ln ∣((1−(√(1+u)))/(1−(√(1−u))))∣ +(√(1+u))−(√(1−u))]_(−1) ^1 =  =2−(√2)ln (1+(√2))

$${F}\left({x}\right)=\underset{\mathrm{0}} {\overset{\pi/\mathrm{2}} {\int}}\frac{\mathrm{sin}\:{x}}{\:\sqrt{\mathrm{1}+\sqrt{\mathrm{sin}\:\mathrm{2}{x}}}}{dx} \\ $$$${F}\left(\frac{\pi}{\mathrm{2}}−{x}\right)=−{F}\left({x}\right)\:\Rightarrow \\ $$$${F}\left({x}\right)=\frac{\mathrm{1}}{\mathrm{2}}\left({F}\left({x}\right)+{F}\left(\frac{\pi}{\mathrm{2}}−{x}\right)\right)= \\ $$$$=\frac{\mathrm{1}}{\mathrm{2}}\underset{\mathrm{0}} {\overset{\pi/\mathrm{2}} {\int}}\frac{\mathrm{cos}\:{x}\:+\mathrm{sin}\:{x}}{\:\sqrt{\mathrm{1}+\sqrt{\mathrm{sin}\:\mathrm{2}{x}}}}{dx}= \\ $$$$\:\:\:\:\:\left[{t}={x}+\frac{\pi}{\mathrm{4}}\right] \\ $$$$=\frac{\sqrt{\mathrm{2}}}{\mathrm{2}}\:\underset{\pi/\mathrm{4}} {\overset{\mathrm{3}\pi/\mathrm{4}} {\int}}\frac{\mathrm{sin}\:{t}}{\:\sqrt{\mathrm{1}+\sqrt{−\mathrm{cos}\:\mathrm{2}{t}}}}{dt}= \\ $$$$=\frac{\sqrt{\mathrm{2}}}{\mathrm{2}}\:\underset{\pi/\mathrm{4}} {\overset{\mathrm{3}\pi/\mathrm{4}} {\int}}\frac{\mathrm{sin}\:{t}}{\:\sqrt{\mathrm{1}+\sqrt{\mathrm{1}−\mathrm{2cos}^{\mathrm{2}} \:{t}}}}{dt}= \\ $$$$\:\:\:\:\:\left[{u}=\sqrt{\mathrm{2}}\mathrm{cos}\:{t}\right] \\ $$$$=\frac{\sqrt{\mathrm{2}}}{\mathrm{2}}\underset{−\mathrm{1}} {\overset{\mathrm{1}} {\int}}\frac{{du}}{\:\sqrt{\mathrm{1}−{u}}+\sqrt{\mathrm{1}+{u}}}= \\ $$$$=\frac{\sqrt{\mathrm{2}}}{\mathrm{4}}\underset{−\mathrm{1}} {\overset{\mathrm{1}} {\int}}\left(\frac{\sqrt{\mathrm{1}+{u}}}{{u}}−\frac{\sqrt{\mathrm{1}−{u}}}{{u}}\right){du}= \\ $$$$\frac{\sqrt{\mathrm{2}}}{\mathrm{2}}\left[\mathrm{ln}\:\mid\frac{\mathrm{1}−\sqrt{\mathrm{1}+{u}}}{\mathrm{1}−\sqrt{\mathrm{1}−{u}}}\mid\:+\sqrt{\mathrm{1}+{u}}−\sqrt{\mathrm{1}−{u}}\right]_{−\mathrm{1}} ^{\mathrm{1}} = \\ $$$$=\mathrm{2}−\sqrt{\mathrm{2}}\mathrm{ln}\:\left(\mathrm{1}+\sqrt{\mathrm{2}}\right) \\ $$

Terms of Service

Privacy Policy

Contact: info@tinkutara.com