Question and Answers Forum

All Questions      Topic List

Integration Questions

Previous in All Question      Next in All Question      

Previous in Integration      Next in Integration      

Question Number 221048 by fantastic last updated on 23/May/25

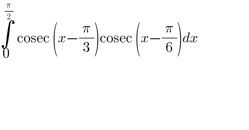
∫_0 ^(π/2)  cosec (x−(π/3))cosec (x−(π/6))dx

$$\underset{\mathrm{0}} {\overset{\frac{\pi}{\mathrm{2}}} {\int}}\:\mathrm{cosec}\:\left({x}−\frac{\pi}{\mathrm{3}}\right)\mathrm{cosec}\:\left({x}−\frac{\pi}{\mathrm{6}}\right){dx}\: \\ $$

Answered by vnm last updated on 24/May/25

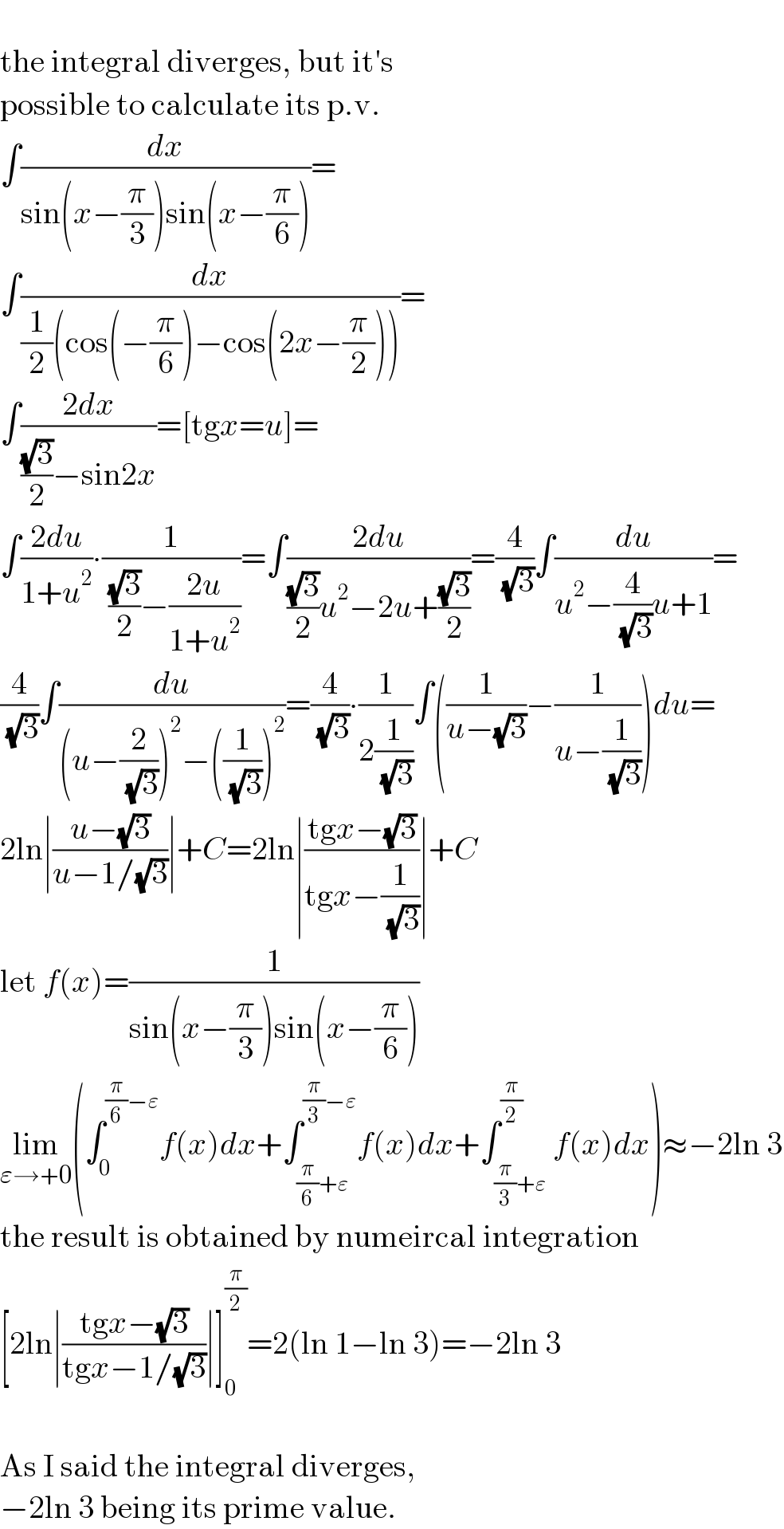
  the integral diverges, but it′s  possible to calculate its p.v.  ∫(dx/(sin(x−(π/3))sin(x−(π/6))))=  ∫(dx/((1/2)(cos(−(π/6))−cos(2x−(π/2)))))=  ∫((2dx)/(((√3)/2)−sin2x))=[tgx=u]=  ∫((2du)/(1+u^2 ))∙(1/( ((√3)/2)−((2u)/(1+u^2 ))))=∫((2du)/(((√3)/2)u^2 −2u+((√3)/2)))=(4/( (√3)))∫(du/(u^2 −(4/( (√3)))u+1))=  (4/( (√3)))∫(du/((u−(2/( (√3))))^2 −((1/( (√3))))^2 ))=(4/( (√3)))∙(1/(2(1/( (√3)))))∫((1/(u−(√3)))−(1/(u−(1/( (√3))))))du=  2ln∣((u−(√3))/(u−1/(√3)))∣+C=2ln∣((tgx−(√3))/(tgx−(1/( (√3)))))∣+C  let f(x)=(1/(sin(x−(π/3))sin(x−(π/6))))  lim_(ε→+0) (∫_0 ^((π/6)−ε) f(x)dx+∫_((π/6)+ε) ^((π/3)−ε) f(x)dx+∫_((π/3)+ε) ^(π/2) f(x)dx)≈−2ln 3  the result is obtained by numeircal integration  [2ln∣((tgx−(√3))/(tgx−1/(√3)))∣]_0 ^(π/2) =2(ln 1−ln 3)=−2ln 3    As I said the integral diverges,   −2ln 3 being its prime value.

$$ \\ $$$$\mathrm{the}\:\mathrm{integral}\:\mathrm{diverges},\:\mathrm{but}\:\mathrm{it}'\mathrm{s} \\ $$$$\mathrm{possible}\:\mathrm{to}\:\mathrm{calculate}\:\mathrm{its}\:\mathrm{p}.\mathrm{v}. \\ $$$$\int\frac{{dx}}{\mathrm{sin}\left({x}−\frac{\pi}{\mathrm{3}}\right)\mathrm{sin}\left({x}−\frac{\pi}{\mathrm{6}}\right)}= \\ $$$$\int\frac{{dx}}{\frac{\mathrm{1}}{\mathrm{2}}\left(\mathrm{cos}\left(−\frac{\pi}{\mathrm{6}}\right)−\mathrm{cos}\left(\mathrm{2}{x}−\frac{\pi}{\mathrm{2}}\right)\right)}= \\ $$$$\int\frac{\mathrm{2}{dx}}{\frac{\sqrt{\mathrm{3}}}{\mathrm{2}}−\mathrm{sin2}{x}}=\left[\mathrm{tg}{x}={u}\right]= \\ $$$$\int\frac{\mathrm{2}{du}}{\mathrm{1}+{u}^{\mathrm{2}} }\centerdot\frac{\mathrm{1}}{\:\frac{\sqrt{\mathrm{3}}}{\mathrm{2}}−\frac{\mathrm{2}{u}}{\mathrm{1}+{u}^{\mathrm{2}} }}=\int\frac{\mathrm{2}{du}}{\frac{\sqrt{\mathrm{3}}}{\mathrm{2}}{u}^{\mathrm{2}} −\mathrm{2}{u}+\frac{\sqrt{\mathrm{3}}}{\mathrm{2}}}=\frac{\mathrm{4}}{\:\sqrt{\mathrm{3}}}\int\frac{{du}}{{u}^{\mathrm{2}} −\frac{\mathrm{4}}{\:\sqrt{\mathrm{3}}}{u}+\mathrm{1}}= \\ $$$$\frac{\mathrm{4}}{\:\sqrt{\mathrm{3}}}\int\frac{{du}}{\left({u}−\frac{\mathrm{2}}{\:\sqrt{\mathrm{3}}}\right)^{\mathrm{2}} −\left(\frac{\mathrm{1}}{\:\sqrt{\mathrm{3}}}\right)^{\mathrm{2}} }=\frac{\mathrm{4}}{\:\sqrt{\mathrm{3}}}\centerdot\frac{\mathrm{1}}{\mathrm{2}\frac{\mathrm{1}}{\:\sqrt{\mathrm{3}}}}\int\left(\frac{\mathrm{1}}{{u}−\sqrt{\mathrm{3}}}−\frac{\mathrm{1}}{{u}−\frac{\mathrm{1}}{\:\sqrt{\mathrm{3}}}}\right){du}= \\ $$$$\mathrm{2ln}\mid\frac{{u}−\sqrt{\mathrm{3}}}{{u}−\mathrm{1}/\sqrt{\mathrm{3}}}\mid+{C}=\mathrm{2ln}\mid\frac{\mathrm{tg}{x}−\sqrt{\mathrm{3}}}{\mathrm{tg}{x}−\frac{\mathrm{1}}{\:\sqrt{\mathrm{3}}}}\mid+{C} \\ $$$$\mathrm{let}\:{f}\left({x}\right)=\frac{\mathrm{1}}{\mathrm{sin}\left({x}−\frac{\pi}{\mathrm{3}}\right)\mathrm{sin}\left({x}−\frac{\pi}{\mathrm{6}}\right)} \\ $$$$\underset{\varepsilon\rightarrow+\mathrm{0}} {\mathrm{lim}}\left(\int_{\mathrm{0}} ^{\frac{\pi}{\mathrm{6}}−\varepsilon} {f}\left({x}\right){dx}+\int_{\frac{\pi}{\mathrm{6}}+\varepsilon} ^{\frac{\pi}{\mathrm{3}}−\varepsilon} {f}\left({x}\right){dx}+\int_{\frac{\pi}{\mathrm{3}}+\varepsilon} ^{\frac{\pi}{\mathrm{2}}} {f}\left({x}\right){dx}\right)\approx−\mathrm{2ln}\:\mathrm{3} \\ $$$$\mathrm{the}\:\mathrm{result}\:\mathrm{is}\:\mathrm{obtained}\:\mathrm{by}\:\mathrm{numeircal}\:\mathrm{integration} \\ $$$$\left[\mathrm{2ln}\mid\frac{\mathrm{tg}{x}−\sqrt{\mathrm{3}}}{\mathrm{tg}{x}−\mathrm{1}/\sqrt{\mathrm{3}}}\mid\right]_{\mathrm{0}} ^{\frac{\pi}{\mathrm{2}}} =\mathrm{2}\left(\mathrm{ln}\:\mathrm{1}−\mathrm{ln}\:\mathrm{3}\right)=−\mathrm{2ln}\:\mathrm{3} \\ $$$$ \\ $$$$\mathrm{As}\:\mathrm{I}\:\mathrm{said}\:\mathrm{the}\:\mathrm{integral}\:\mathrm{diverges},\: \\ $$$$−\mathrm{2ln}\:\mathrm{3}\:\mathrm{being}\:\mathrm{its}\:\mathrm{prime}\:\mathrm{value}. \\ $$

Answered by Frix last updated on 24/May/25

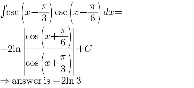
∫csc (x−(π/3)) csc (x−(π/6)) dx=  =2ln ∣((cos (x+(π/6)))/(cos (x+(π/3))))∣ +C  ⇒ answer is −2ln 3

$$\int\mathrm{csc}\:\left({x}−\frac{\pi}{\mathrm{3}}\right)\:\mathrm{csc}\:\left({x}−\frac{\pi}{\mathrm{6}}\right)\:{dx}= \\ $$$$=\mathrm{2ln}\:\mid\frac{\mathrm{cos}\:\left({x}+\frac{\pi}{\mathrm{6}}\right)}{\mathrm{cos}\:\left({x}+\frac{\pi}{\mathrm{3}}\right)}\mid\:+{C} \\ $$$$\Rightarrow\:\mathrm{answer}\:\mathrm{is}\:−\mathrm{2ln}\:\mathrm{3} \\ $$

Terms of Service

Privacy Policy

Contact: info@tinkutara.com