Question and Answers Forum

All Questions      Topic List

None Questions

Previous in All Question      Next in All Question      

Previous in None      Next in None      

Question Number 218063 by alephnull last updated on 27/Mar/25

∫_0 ^(2π)  cos x^2

$$\int_{\mathrm{0}} ^{\mathrm{2}\pi} \:\mathrm{cos}\:{x}^{\mathrm{2}} \\ $$

Answered by Frix last updated on 28/Mar/25

The Fresnel C Integral:  C (x) := ∫_0 ^x cos ((πt^2 )/2) dt  ⇒  ∫_0 ^(2π) cos x^2  dx=((√(2π))/2)[C (((√2)/( (√π)))x)]_0 ^(2π) =((√(2π))/2)C ((√(8π)))  ≈.704681810

$$\mathrm{The}\:\mathrm{Fresnel}\:\mathrm{C}\:\mathrm{Integral}: \\ $$$$\mathrm{C}\:\left({x}\right)\::=\:\underset{\mathrm{0}} {\overset{{x}} {\int}}\mathrm{cos}\:\frac{\pi{t}^{\mathrm{2}} }{\mathrm{2}}\:{dt} \\ $$$$\Rightarrow \\ $$$$\underset{\mathrm{0}} {\overset{\mathrm{2}\pi} {\int}}\mathrm{cos}\:{x}^{\mathrm{2}} \:{dx}=\frac{\sqrt{\mathrm{2}\pi}}{\mathrm{2}}\left[\mathrm{C}\:\left(\frac{\sqrt{\mathrm{2}}}{\:\sqrt{\pi}}{x}\right)\right]_{\mathrm{0}} ^{\mathrm{2}\pi} =\frac{\sqrt{\mathrm{2}\pi}}{\mathrm{2}}\mathrm{C}\:\left(\sqrt{\mathrm{8}\pi}\right) \\ $$$$\approx.\mathrm{704681810} \\ $$

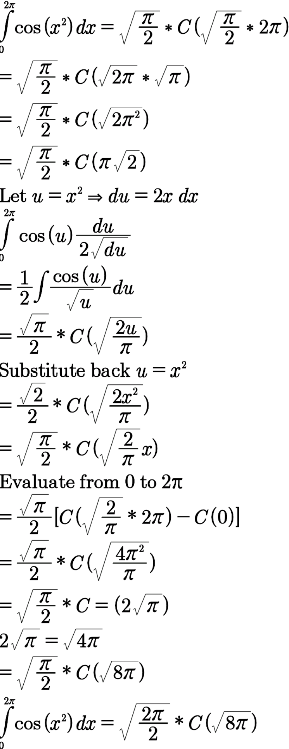
Answered by MrGaster last updated on 29/Mar/25

Terms of Service

Privacy Policy

Contact: info@tinkutara.com