Question and Answers Forum

All Questions      Topic List

None Questions

Previous in All Question      Next in All Question      

Previous in None      Next in None      

Question Number 216615 by EmGent last updated on 12/Feb/25

∫_0 ^1 sin nπx J_0 (j_(0m) x)dx

$$\int_{\mathrm{0}} ^{\mathrm{1}} \mathrm{sin}\:{n}\pi{x}\:{J}_{\mathrm{0}} \left({j}_{\mathrm{0}{m}} {x}\right){dx} \\ $$

Answered by EmGent last updated on 12/Feb/25

Does anyone knows how to solve this ?  J_0  is the 0-th Bessel function and j_(0m)  is the m-th zero of this function

$$\mathrm{Does}\:\mathrm{anyone}\:\mathrm{knows}\:\mathrm{how}\:\mathrm{to}\:\mathrm{solve}\:\mathrm{this}\:? \\ $$$${J}_{\mathrm{0}} \:\mathrm{is}\:\mathrm{the}\:\mathrm{0}-\mathrm{th}\:\mathrm{Bessel}\:\mathrm{function}\:\mathrm{and}\:{j}_{\mathrm{0}{m}} \:\mathrm{is}\:\mathrm{the}\:\mathrm{m}-\mathrm{th}\:\mathrm{zero}\:\mathrm{of}\:\mathrm{this}\:\mathrm{function} \\ $$

Answered by MrGaster last updated on 13/Feb/25

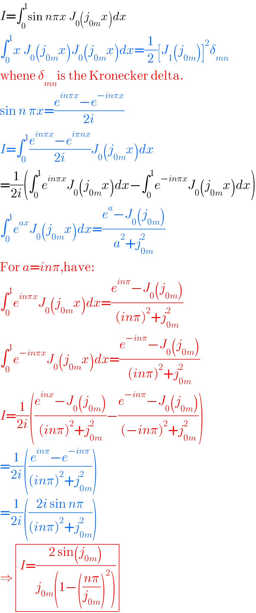
I=∫_0 ^1 sin nπx J_0 (j_(0m) x)dx  ∫_0 ^1 x J_0 (j_(0m) x)J_0 (j_(0m) x)dx=(1/2)[J_1 (j_(0m) )]^2 δ_(mn)   whene δ_(mn) is the Kronecker delta.  sin n πx=((e^(inπx) −e^(−inπx) )/(2i))  I=∫_0 ^1 ((e^(inπx) −e^(iπnx) )/(2i))J_0 (j_(0m) x)dx  =(1/(2i))(∫_0 ^1 e^(inπx) J_0 (j_(0m) x)dx−∫_0 ^1 e^(−inπx) J_0 (j_(0m) x)dx)  ∫_0 ^1 e^(ax) J_0 (j_(0m) x)dx=((e^a −J_0 (j_(0m) ))/(a^2 +j_(0m) ^2 ))  For a=inπ,have:  ∫_0 ^1 e^(inπx) J_0 (j_(0m) x)dx=((e^(inπ) −J_0 (j_(0m) ))/((inπ)^2 +j_(0m) ^2 ))  ∫_0 ^1 e^(−inπx) J_0 (j_(0m) x)dx=((e^(−inπ) −J_0 (j_(0m) ))/((inπ)^2 +j_(0m) ^2 ))  I=(1/(2i))(((e^(inx) −J_0 (j_(0m) ))/((inπ)^2 +j_(0m) ^2 ))−((e^(−inπ) −J_0 (j_(0m) ))/((−inπ)^2 +j_(0m) ^2 )))  =(1/(2i))(((e^(inπ) −e^(−inπ) )/((inπ)^2 +j_(0m) ^2 )))  =(1/(2i))(((2i sin nπ)/((inπ)^2 +j_(0m) ^2 )))  ⇒ determinant (((I=((2 sin(j_(0m) ))/(j_(0m) (1−(((nπ)/j_(0m) ))^2 ))))))

$${I}=\int_{\mathrm{0}} ^{\mathrm{1}} \mathrm{sin}\:{n}\pi{x}\:{J}_{\mathrm{0}} \left({j}_{\mathrm{0}{m}} {x}\right){dx} \\ $$$$\int_{\mathrm{0}} ^{\mathrm{1}} {x}\:{J}_{\mathrm{0}} \left({j}_{\mathrm{0}{m}} {x}\right){J}_{\mathrm{0}} \left({j}_{\mathrm{0}{m}} {x}\right){dx}=\frac{\mathrm{1}}{\mathrm{2}}\left[{J}_{\mathrm{1}} \left({j}_{\mathrm{0}{m}} \right)\right]^{\mathrm{2}} \delta_{{mn}} \\ $$$$\mathrm{whene}\:\delta_{{mn}} \mathrm{is}\:\mathrm{the}\:\mathrm{Kronecker}\:\mathrm{delta}. \\ $$$$\mathrm{sin}\:{n}\:\pi{x}=\frac{{e}^{{in}\pi{x}} −{e}^{−{in}\pi{x}} }{\mathrm{2}{i}} \\ $$$${I}=\int_{\mathrm{0}} ^{\mathrm{1}} \frac{{e}^{{in}\pi{x}} −{e}^{{i}\pi{nx}} }{\mathrm{2}{i}}{J}_{\mathrm{0}} \left({j}_{\mathrm{0}{m}} {x}\right){dx} \\ $$$$=\frac{\mathrm{1}}{\mathrm{2}{i}}\left(\int_{\mathrm{0}} ^{\mathrm{1}} {e}^{{in}\pi{x}} {J}_{\mathrm{0}} \left({j}_{\mathrm{0}{m}} {x}\right){dx}−\int_{\mathrm{0}} ^{\mathrm{1}} {e}^{−{in}\pi{x}} {J}_{\mathrm{0}} \left({j}_{\mathrm{0}{m}} {x}\right){dx}\right) \\ $$$$\int_{\mathrm{0}} ^{\mathrm{1}} {e}^{{ax}} {J}_{\mathrm{0}} \left({j}_{\mathrm{0}{m}} {x}\right){dx}=\frac{{e}^{{a}} −{J}_{\mathrm{0}} \left({j}_{\mathrm{0}{m}} \right)}{{a}^{\mathrm{2}} +{j}_{\mathrm{0}{m}} ^{\mathrm{2}} } \\ $$$$\mathrm{For}\:{a}={in}\pi,\mathrm{have}: \\ $$$$\int_{\mathrm{0}} ^{\mathrm{1}} {e}^{{in}\pi{x}} {J}_{\mathrm{0}} \left({j}_{\mathrm{0}{m}} {x}\right){dx}=\frac{{e}^{{in}\pi} −{J}_{\mathrm{0}} \left({j}_{\mathrm{0}{m}} \right)}{\left({in}\pi\right)^{\mathrm{2}} +{j}_{\mathrm{0}{m}} ^{\mathrm{2}} } \\ $$$$\int_{\mathrm{0}} ^{\mathrm{1}} {e}^{−{in}\pi{x}} {J}_{\mathrm{0}} \left({j}_{\mathrm{0}{m}} {x}\right){dx}=\frac{{e}^{−{in}\pi} −{J}_{\mathrm{0}} \left({j}_{\mathrm{0}{m}} \right)}{\left({in}\pi\right)^{\mathrm{2}} +{j}_{\mathrm{0}{m}} ^{\mathrm{2}} } \\ $$$${I}=\frac{\mathrm{1}}{\mathrm{2}{i}}\left(\frac{{e}^{{inx}} −{J}_{\mathrm{0}} \left({j}_{\mathrm{0}{m}} \right)}{\left({in}\pi\right)^{\mathrm{2}} +{j}_{\mathrm{0}{m}} ^{\mathrm{2}} }−\frac{{e}^{−{in}\pi} −{J}_{\mathrm{0}} \left({j}_{\mathrm{0}{m}} \right)}{\left(−{in}\pi\right)^{\mathrm{2}} +{j}_{\mathrm{0}{m}} ^{\mathrm{2}} }\right) \\ $$$$=\frac{\mathrm{1}}{\mathrm{2}{i}}\left(\frac{{e}^{{in}\pi} −{e}^{−{in}\pi} }{\left({in}\pi\right)^{\mathrm{2}} +{j}_{\mathrm{0}{m}} ^{\mathrm{2}} }\right) \\ $$$$=\frac{\mathrm{1}}{\mathrm{2}{i}}\left(\frac{\mathrm{2}{i}\:\mathrm{sin}\:{n}\pi}{\left({in}\pi\right)^{\mathrm{2}} +{j}_{\mathrm{0}{m}} ^{\mathrm{2}} }\right) \\ $$$$\Rightarrow\begin{array}{|c|}{{I}=\frac{\mathrm{2}\:\mathrm{sin}\left({j}_{\mathrm{0}{m}} \right)}{{j}_{\mathrm{0}{m}} \left(\mathrm{1}−\left(\frac{{n}\pi}{{j}_{\mathrm{0}{m}} }\right)^{\mathrm{2}} \right)}}\\\hline\end{array} \\ $$

Commented by EmGent last updated on 15/Sep/25

How do go from blue to the red,  also shouldn t the blue expression always be 0 ?

$$\mathrm{How}\:\mathrm{do}\:\mathrm{go}\:\mathrm{from}\:\mathrm{blue}\:\mathrm{to}\:\mathrm{the}\:\mathrm{red}, \\ $$$$\mathrm{also}\:\mathrm{shouldn}\:\mathrm{t}\:\mathrm{the}\:\mathrm{blue}\:\mathrm{expression}\:\mathrm{always}\:\mathrm{be}\:\mathrm{0}\:? \\ $$

Terms of Service

Privacy Policy

Contact: info@tinkutara.com