Question and Answers Forum

All Questions      Topic List

Integration Questions

Previous in All Question      Next in All Question      

Previous in Integration      Next in Integration      

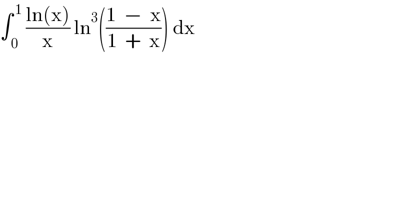
Question Number 223534 by Tawa11 last updated on 28/Jul/25

∫_( 0) ^( 1)  ((ln(x))/x) ln^3 (((1  −  x)/(1  +  x))) dx

$$\int_{\:\mathrm{0}} ^{\:\mathrm{1}} \:\frac{\mathrm{ln}\left(\mathrm{x}\right)}{\mathrm{x}}\:\mathrm{ln}^{\mathrm{3}} \left(\frac{\mathrm{1}\:\:−\:\:\mathrm{x}}{\mathrm{1}\:\:+\:\:\mathrm{x}}\right)\:\mathrm{dx} \\ $$

Answered by MathematicalUser2357 last updated on 31/Jul/25

 lim_(x→1^− ) ∫−lim_(x→0^+ ) ∫  1.67344

$$ \underset{{x}\rightarrow\mathrm{1}^{−} } {\mathrm{lim}}\int−\underset{{x}\rightarrow\mathrm{0}^{+} } {\mathrm{lim}}\int\: \mathrm{1}.\mathrm{67344} \\ $$

Commented by Tawa11 last updated on 02/Aug/25

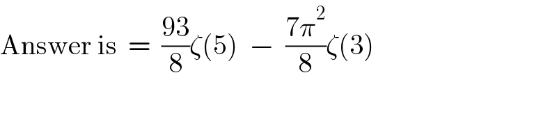
Answer is  =  ((93)/8)ζ(5)  −  ((7π^2 )/8)ζ(3)

$$\mathrm{Answer}\:\mathrm{is}\:\:=\:\:\frac{\mathrm{93}}{\mathrm{8}}\zeta\left(\mathrm{5}\right)\:\:−\:\:\frac{\mathrm{7}\pi^{\mathrm{2}} }{\mathrm{8}}\zeta\left(\mathrm{3}\right) \\ $$

Terms of Service

Privacy Policy

Contact: info@tinkutara.com